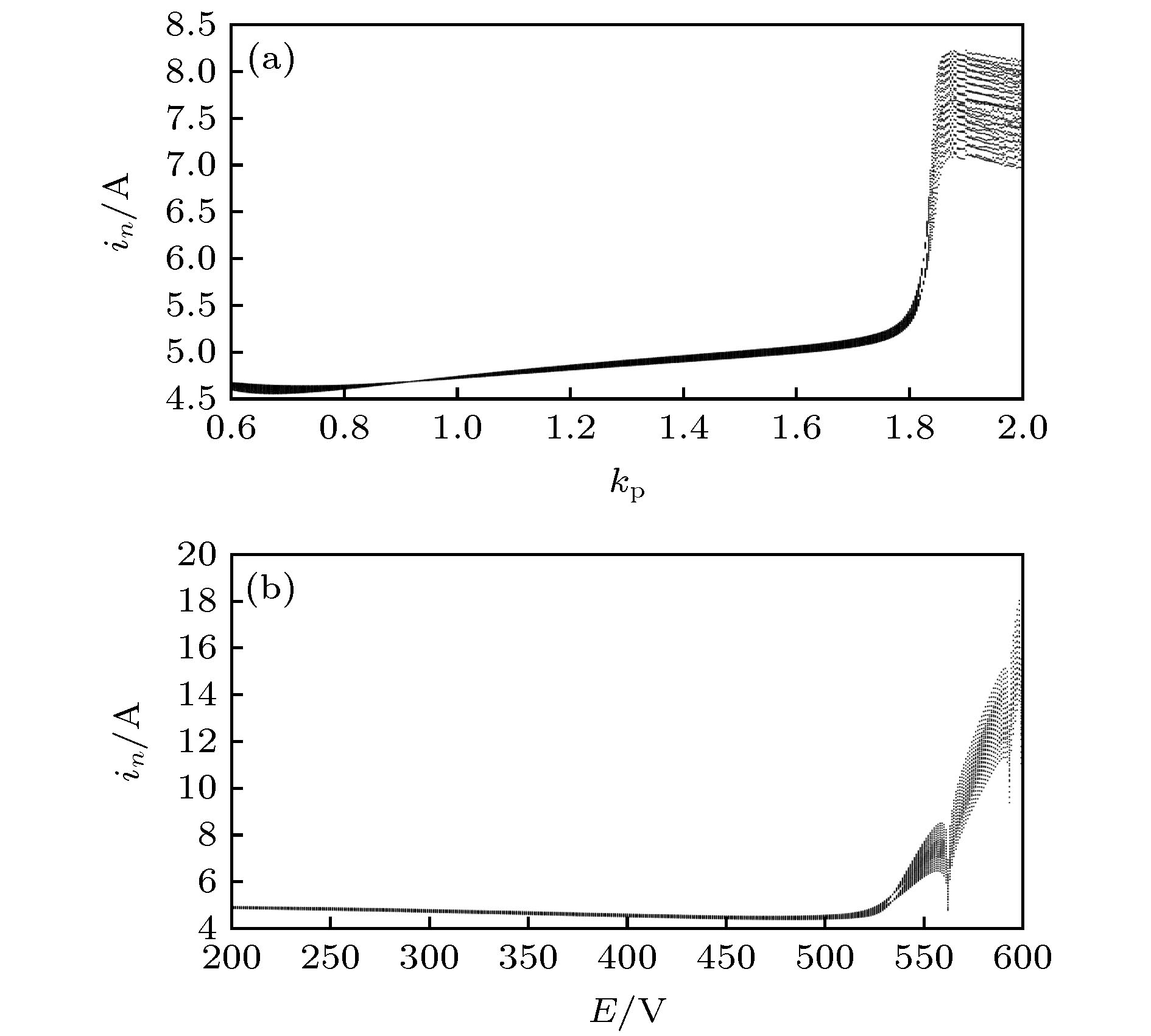
There are complex nonlinear behaviors such as bifurcation and chaos in a single-phase H-bridge photovoltaic inverter under proportional integral control, which will increase the harmonic content of the output current greatly and reduce the stability of system operation and reliability of power supply. There are the problems suffering the complicated modeling and difficulty in determining the control coefficients in existing chaos control methods. The exponential delay feedback control is a further development of the delay feedback control, which has the advantages of requiring no precise mathematical model of the system and simple implementation. However, our research shows that when the exponential delay feedback control is directly applied to the system, the feedback intensity cannot be controlled, which will bring too big a disturbance to the system. Based on it, an improved exponential delayed feedback control method is proposed in this paper. Firstly, a feedback signal is formed by the difference between the output current of the system and its own delay, then the feedback signal is used to obtain the control signal through an exponential link, a subtraction link and an proportion link, and the control signal is applied to the controlled system in the form of a feedback. At the same time, the discrete mapping model of the system is established and its Jacobian matrix expression is determined. Finally, the limiting conditions of the feedback control coefficient of the control signal are derived based on the stability criterion, and the control is applied to the system. In order to verify the control effect of this method, a lot of simulation experiments are conducted. The results show that the problems that the exponential delay feedback cannot control the feedback strength and causes excessive disturbance to the system will be effectively solved by this method. When the bifurcation parameters vary greatly, the chaos behaviors in the system will be suppressed effectively, the stable operating domain of the system will be expanded greatly and the harmonic content of the output current will be reduced.