| [1] |
Wei Jiang-Tao, Yang Liang-Liang, Qin Yuan-Hao, Song Pei-Shuai, Zhang Ming-Liang, Yang Fu-Hua, Wang Xiao-Dong.Methodology of teasting thermoelectric properties of low-dimensional nanomaterials. Acta Physica Sinica, 2021, 70(4): 047301.doi:10.7498/aps.70.20201175 |
| [2] |
Shi Wen-Qi, Tian Hong, Lu Yu-Xin, Zhu Hong, Li Fen, Wang Xiao-Xia, Liu Yan-Wen.Research progress of metal halide perovskite nanometer optoelectronic materials. Acta Physica Sinica, 2021, 70(8): 087303.doi:10.7498/aps.70.20201842 |
| [3] |
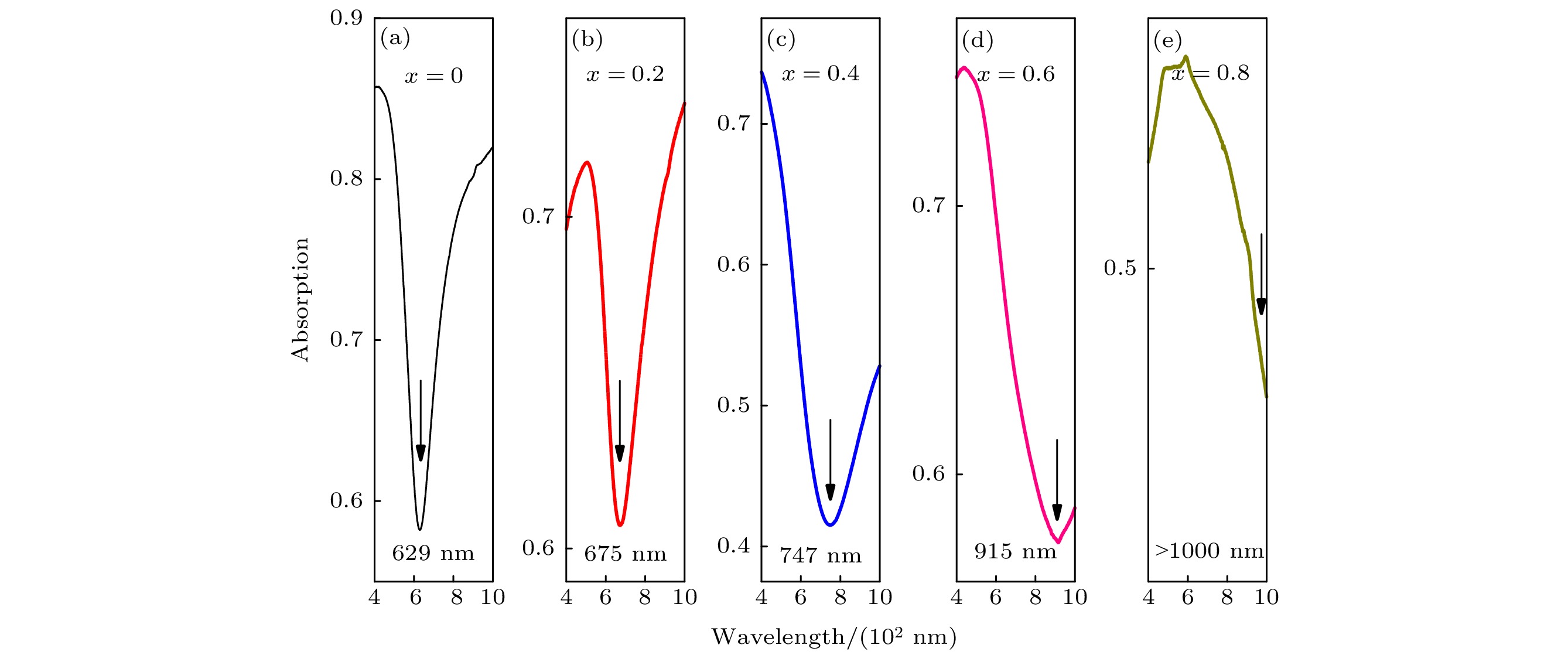
Zhang Hong-Yan, Bao Li-Hong, Chao Luo-Meng, Zhao Feng-Qi, Liu Zi-Zhong.Optical absorption and thermionic emission mechanism of multi-functional La1–xSrxB6hexaborides. Acta Physica Sinica, 2021, 70(21): 214204.doi:10.7498/aps.70.20211069 |
| [4] |
Ma Teng-Yu, Li Wan-Jun, He Xian-Wang, Hu Hui, Huang Li-Juan, Zhang Hong, Xiong Yuan-Qiang, Li Hong-Lin, Ye Li-Juan, Kong Chun-Yang.Size Regulation and Photoluminescence Properties ofβ-Ga2O3Nanomaterials. Acta Physica Sinica, 2020, 69(10): 108102.doi:10.7498/aps.69.20200158 |
| [5] |
Zhao Cheng-Xiang, Qie Yuan, Yu Yao, Ma Rong-Rong, Qin Jun-Fei, Liu Yan.Enhanced optical absorption of graphene by plasmon. Acta Physica Sinica, 2020, 69(6): 067801.doi:10.7498/aps.69.20191645 |
| [6] |
Cheng Da-Wei, Bao Li-Hong, Zhang Hong-Yan, Pan Xiao-Jian, Zhao Feng-Qi, O. Tegus, Chao Luo-Meng.Nanocrystalline CeB6and SmB6powder prepared by evaporative condensation method and their visible light transparency. Acta Physica Sinica, 2019, 68(24): 246101.doi:10.7498/aps.68.20191312 |
| [7] |
Li Chao, Yao Yuan, Yang Yang, Shen Xi, Gao Bin, Huo Zong-Liang, Kang Jin-Feng, Liu Ming, Yu Ri-Cheng.In situ transmission electron microscopy studies on nanomaterials and HfO2-based storage nanodevices. Acta Physica Sinica, 2018, 67(12): 126802.doi:10.7498/aps.67.20180731 |
| [8] |
Zhai Shun-Cheng, Guo Ping, Zheng Ji-Ming, Zhao Pu-Ju, Suo Bing-Bing, Wan Yun.First principle study of electronic structures and optical absorption properties of O and S doped graphite phase carbon nitride (g-C3N4)6 quantum dots. Acta Physica Sinica, 2017, 66(18): 187102.doi:10.7498/aps.66.187102 |
| [9] |
Ren Chao, Li Xiu-Yan, Luo Quan-Wei, Liu Rui-Ping, Yang Zhi, Xu Li-Chun.Electronic structure and optical absorption properties of -AgVO3 with vacancy defects. Acta Physica Sinica, 2017, 66(15): 157101.doi:10.7498/aps.66.157101 |
| [10] |
Xue Bin, Wang Hong-Yang, Qin Meng, Cao Yi, Wang Wei.A photocatalysis system based on composite nanostructures of controlable peptide nanotubes and graphene. Acta Physica Sinica, 2015, 64(9): 098702.doi:10.7498/aps.64.098702 |
| [11] |
Bao Li-Hong, Chao Lu-Meng, Wei Wei, O. Tegus.Synthesis and optical absorption properties of LaxCe1-xB6 submicron powders. Acta Physica Sinica, 2015, 64(9): 096104.doi:10.7498/aps.64.096104 |
| [12] |
Feng Qiu-Ju, Xu Rui-Zhuo, Guo Hui-Ying, Xu Kun, Li Rong, Tao Peng-Cheng, Liang Hong-Wei, Liu Jia-Yuan, Mei Yi-Ying.Influences of the substrate position on the morphology and characterization of phosphorus doped ZnO nanomaterial. Acta Physica Sinica, 2014, 63(16): 168101.doi:10.7498/aps.63.168101 |
| [13] |
Pu Nian-Nian, Li Hai-Rong, Xie Long-Zhen.Influence of NiOx hole-transporting layer on the light absorption of the polymer solar cells. Acta Physica Sinica, 2014, 63(6): 067201.doi:10.7498/aps.63.067201 |
| [14] |
Bao Li-Hong, Narengerile, O. Tegus, Zhang Xin, Zhang Jiu-Xing.Synthesis and properties of LaxCe1-xB6 compounds by in-situ spark plasma sintering. Acta Physica Sinica, 2013, 62(19): 196105.doi:10.7498/aps.62.196105 |
| [15] |
Li Xiao-Na, Zhang Xin, Zhang Jiu-Xing, Bao Li-Hong, Zhang Ning, Zhang Fan-Xing.Synthesis and properties of multiple boride Pr1-xCexB6 cathodes by reactive spark plasma sintering. Acta Physica Sinica, 2012, 61(22): 228104.doi:10.7498/aps.61.228104 |
| [16] |
Yang Guang, Chen Zheng-Hao.Optical properties of laser ablated Ag:BaTiO3 composite films. Acta Physica Sinica, 2006, 55(8): 4342-4346.doi:10.7498/aps.55.4342 |
| [17] |
Cui Yong-Feng, Yuan Zhi-Hao.Structural phase transformation and optical absorption of capped TiO2 nanoparticles. Acta Physica Sinica, 2006, 55(10): 5172-5177.doi:10.7498/aps.55.5172 |
| [18] |
Qin Hua, Fu Ru-Lian, Gao Hong-Yun, Liu Juan, Shi Xin-Gang.Theoretical study of the pump light absorption inside a three-level solid state laser medium. Acta Physica Sinica, 2005, 54(4): 1587-1592.doi:10.7498/aps.54.1587 |
| [19] |
Liu Huang-Qing, Wang Ling-Ling, Qin Wei-Ping.Luminescence of Eu3+ Ions in nanocrystalline zirconia. Acta Physica Sinica, 2004, 53(1): 282-285.doi:10.7498/aps.53.282 |
| [20] |
WANG YIN-HAI, MO JI-MEI, CAI WEI-LI, XU YAN-QI.NANO-Cu/Al2O3 ASSEMBLIES TEMPLATE SYNTHESIS AND OPTICAL ABSORPTION. Acta Physica Sinica, 2001, 50(9): 1751-1755.doi:10.7498/aps.50.1751 |