The point defect of two-dimensional hexagonal boron nitride (hBN) has recently been discovered to achieve single photon emission at room temperature, and it has become a research hotspot. Despite its important fundamental and applied research significance, the origin of the atomic structure of luminescence defects in hBN is still controversial. In this paper, first-principle calculations based on density functional theory are used to study a defect (C
N)
3V
Bin the hexagonal boron nitride monolayer (hBN) where three N atoms near the B vacancy are replaced by C atoms. At the B vacancy of hBN, the three N atoms each carry an in-plane dangling bond and the corresponding unpaired electron, and the unpaired electron can be eliminated by C substitution. We systematically study the geometric structure, electronic structure and optical properties of (C
N)
3V
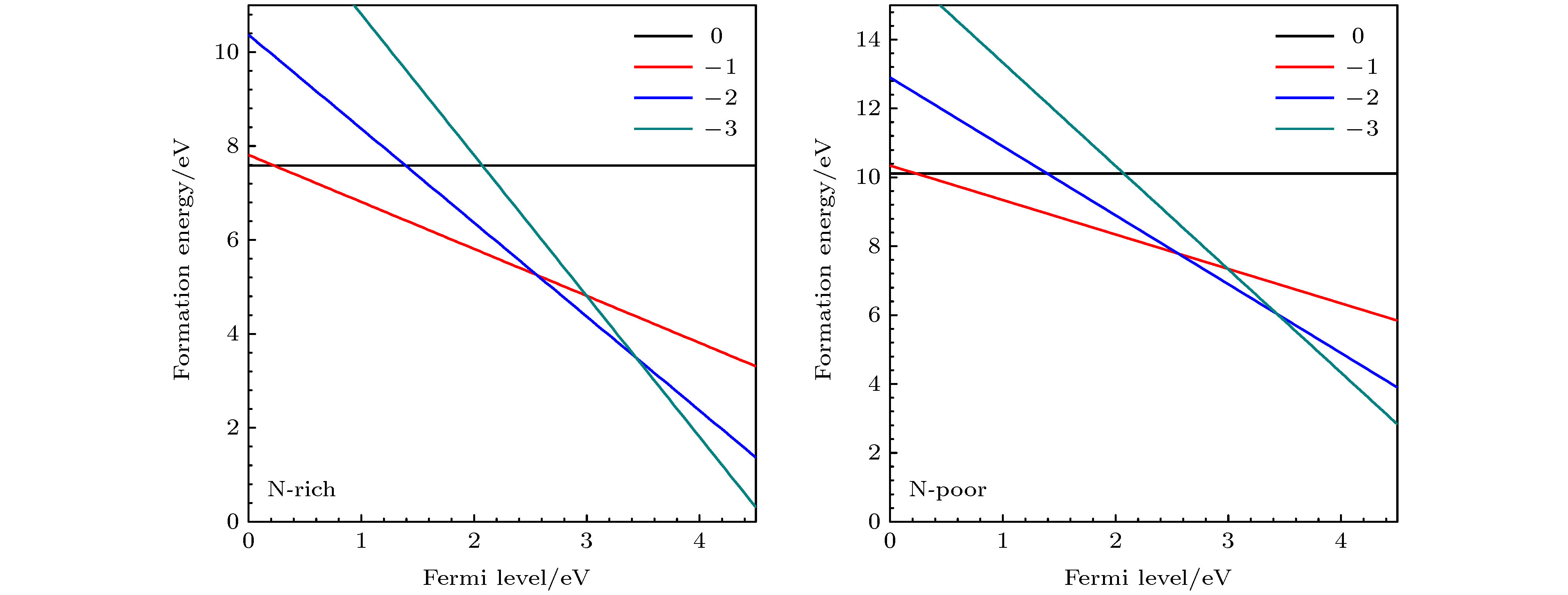
Bdefects, analyze the thermodynamic stability of defects through the calculation of the atomic structure, formation energy, and charge state of the defect, and analyze the position in the band gap and its atomic orbital contribution of defect state through energy band structure and wave function. We also analyze its optical properties through dielectric function and absorption coefficient, and predict its luminous photon energy. The results show that the defect can change from a symmetric metastable state to an asymmetric ground state structure with three C atoms connected together through atomic structure relaxation. The formation energy of asymmetric (C
N)
3V
Bis 7.94 eV, which is 3.72 eV lower than that of symmetric one. The formation of defects introduces some local defect states contributed by defect dangling σ bonds and reconstructed π bonds in hBN. The defects have valence states between –2 and +2, and the thermodynamic transition energy level of asymmetric (C
N)
3V
Bis higher than that of symmetric (C
N)
3V
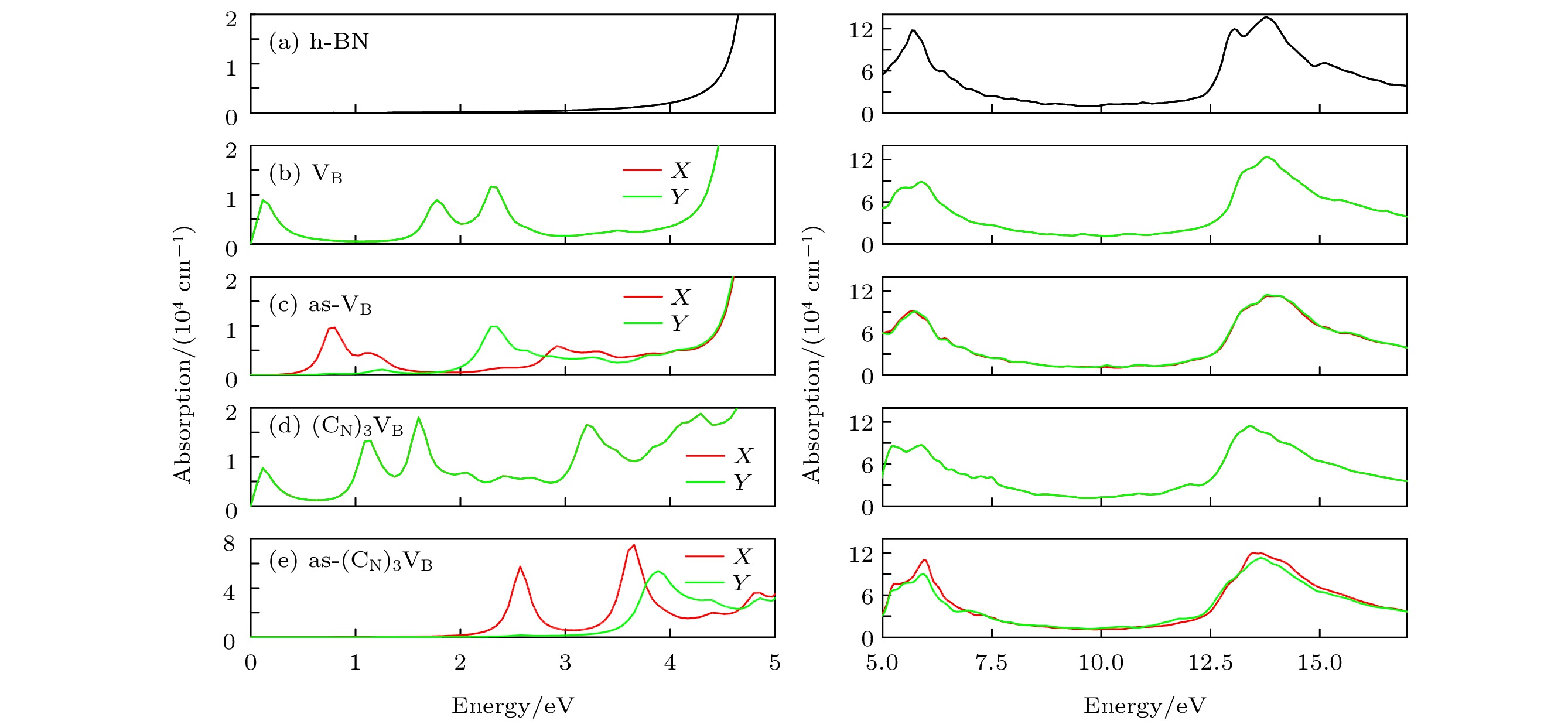
B. In the transition from the metastable state to the ground state, these defect states can redshift the light absorption boundary of hBN, enhance the absorption intensity of visible light by hBN, and cause internal optical transitions. Among them, there is a visible light transition with an energy threshold around 2.58 eV in the asymmetry (C
N)
3V
Bdefect. Single boron atom vacancy defect and (C
N)
3V
Bhave optical transitions near infrared and ultraviolet energy, respectively. The present work will help to further understand the composition and optical properties of point defects in hBN, and provide a theoretical basis for experimentally exploring the origin and properties of the atomic structure of light-emitting point defects.