-
Heavy fermion superconductors belong to a special class of strongly correlated systems and unconventional superconductors. The emergence of superconductivity in these materials is closely associated with the presence of quantum critical fluctuations. Heavy fermion superconductors of different structures often exhibit distinct competing orders and superconducting phase diagrams, implying sensitive dependence of their electronic structures and pairing mechanism on the crystal symmetry. Here we give a brief introduction on recent theoretical and experimental progress in several different material families. We develop a new phenomenological framework of superconductivity combining the Eliashberg theory, a phenomenological form of quantum critical fluctuations, and strongly correlated band structure calculations for real materials. Our theory provides a unified way for systematic understanding of various heavy fermion superconductors.
-
Keywords:
- heavy fermion superconductivity/
- competing order/
- quantum critical fluctuation/
- pairing symmetry
[1] [2] [3] [4] [5] [6] [7] [8] [9] [10] [11] [12] [13] [14] [15] [16] [17] [18] [19] [20] [21] [22] [23] [24] [25] [26] [27] [28] [29] [30] [31] [32] [33] [34] [35] [36] [37] [38] [39] [40] [41] [42] [43] [44] [45] [46] [47] [48] [49] [50] [51] [52] [53] [54] [55] [56] [57] [58] [59] [60] [61] [62] [63] [64] [65] [66] [67] [68] [69] [70] [71] [72] [73] [74] [75] [76] [77] [78] [79] [80] [81] [82] [83] [84] [85] [86] [87] [88] [89] [90] [91] [92] [93] [94] [95] [96] [97] [98] [99] [100] [101] [102] [103] [104] [105] [106] [107] [108] [109] [110] [111] [112] [113] [114] [115] [116] [117] [118] [119] [120] [121] [122] [123] [124] [125] [126] [127] [128] [129] [130] [131] [132] [133] [134] [135] [136] [137] [138] [139] [140] [141] [142] [143] [144] [145] [146] [147] [148] [149] [150] [151] [152] [153] [154] [155] [156] [157] [158] [159] [160] [161] [162] [163] [164] [165] [166] [167] [168] [169] [170] [171] [172] [173] [174] [175] [176] [177] [178] [179] [180] [181] [182] [183] [184] [185] [186] [187] [188] [189] [190] [191] [192] [193] [194] [195] [196] [197] [198] [199] [200] [201] [202] [203] [204] [205] [206] [207] [208] [209] [210] [211] [212] [213] [214] [215] [216] [217] [218] [219] [220] [221] [222] [223] [224] [225] [226] [227] [228] [229] [230] [231] [232] [233] [234] [235] [236] [237] [238] [239] [240] [241] [242] [243] [244] [245] [246] [247] [248] [249] [250] [251] [252] [253] [254] [255] [256] [257] [258] [259] [260] [261] [262] [263] [264] [265] [266] [267] [268] [269] [270] [271] [272] [273] [274] [275] [276] [277] [278] [279] [280] [281] [282] [283] [284] [285] [286] [287] [288] [289] [290] [291] [292] [293] [294] [295] [296] [297] [298] [299] [300] [301] [302] [303] [304] [305] [306] [307] [308] [309] [310] [311] [312] [313] [314] [315] [316] [317] [318] [319] [320] [321] [322] [323] [324] [325] [326] [327] [328] [329] [330] [331] [332] [333] [334] [335] [336] [337] [338] [339] [340] [341] [342] [343] [344] [345] [346] [347] [348] [349] [350] -
类别 材料 晶系(空间群) $ T_{\rm{c}} $/K $ \gamma $/mJ·mol–1·K2 节点 特殊性质 Ce基 CeCu2Si2 四方($ I4/mmm $) 0.7 1000 无 超导与SDW相分离; 加压诱导第二个超导 CeCu2Ge2 四方($ I4/mmm $) 0.64 (10.1 GPa) 200 — 反铁磁竞争序; 加压诱导第二个超导 CePd2Si2 四方($ I4/mmm $) 0.43 (3 GPa) 65 — 反铁磁竞争序 CeRh2Si2 四方($ I4/mmm $) 0.42 (1.06 GPa) 23 — 反铁磁竞争序 CeAg2Si2[61] 四方($ I4/mmm $) 1.25 (16 GPa) — — 反铁磁竞争序 CeAu2Si2 四方($ I4/mmm $) 2.5 (22.5 GPa) — — 反铁磁竞争序 CeNi2Ge2 四方($ I4/mmm $) 0.3 350 — 非费米液体正常态 CeIn3 立方($ Pm3 m $) 0.23 (2.45 GPa) 140 线 反铁磁竞争序 CeIrIn5 四方($ P4/mmm $) 0.4 750 线 非费米液体正常态 CeCoIn5 四方($ P4/mmm $) 2.3 250 线 自旋单态配对; 强磁场诱导Q相 CeRhIn5 四方($ P4/mmm $) 2.4 (2.3 GPa) 430 — 压力和磁场诱导费米面突变; 强磁场诱导向列序 CePt2In7 四方($ I4/mmm $) 2.3 (3.1 GPa) 340 — 反铁磁竞争序 Ce2RhIn8 四方($ P4/mmm $) 2.0 (2.3 GPa) 400 — 反铁磁竞争序 Ce2PdIn8 四方($ P4/mmm $) 0.68 550 线 非费米液体正常态 Ce2CoIn8 四方($ P4/mmm $) 0.4 500 — 非费米液体正常态 Ce3PdIn11 四方($ P4/mmm $) 0.42 290 — 两个反铁磁序 CePt3Si 四方($ P4 mm $) 0.75 390 线 反铁磁竞争序; 破缺中心反演; 混合宇称配对? CeIrSi3 四方($ I4 mm $) 1.65 (2.5 GPa) 120 — 反铁磁竞争序; 破缺中心反演; 混合宇称配对? CeRhSi3 四方($ I4 mm $) 1.0 (2.6 GPa) 120 — 反铁磁竞争序; 破缺中心反演; 混合宇称配对? CeCoGe3 四方($ I4 mm $) 0.69 (6.5 GPa) 32 — 反铁磁竞争序; 破缺中心反演; 混合宇称配对? CeRhGe3[62] 四方($ I4 mm $) 1.3 (21.5 GPa) — — 反铁磁竞争序; 破缺中心反演; 混合宇称配对? CeIrGe3 四方($ I4 mm $) 1.6 (24 GPa) 80 — 反铁磁竞争序; 破缺中心反演; 混合宇称配对? CeNiGe3 正交($ Cmmm $) 0.43 (6.8 GPa) 45 — 反铁磁竞争序; 加压诱导第二个超导 Ce2Rh3Ge5 正交($ Ibam $) 0.26 (4.0 GPa) 90 — 反铁磁竞争序 CePd5Al2 四方($ I4/mmm $) 0.57 (10.8 GPa) 56 — 反铁磁竞争序 Yb基 YbRh2Si2 四方($ I4/mmm $) 0.002 — — 磁场诱导非常规量子临界点 β-YbAlB4 正交($ Cmmm $) 0.08 150 — $ T/B $标度行为; 磁场诱导拓扑金属正常态? U基 UGe2 正交($ Cmmm $) 0.8 (1.2 GPa) 34 线 铁磁竞争序; 等自旋三重态配对; 超导态破缺时间反演对称性 UTe2[63,64] 正交 ($ Immm $) 1.6 110 点 铁磁涨落; 自旋三重态配对; 磁场诱导
多个超导相URhGe 正交 ($ Pnma $) 0.25 163 — 铁磁竞争序; 等自旋三重态配对; 磁场
诱导两个超导相UCoGe 正交 ($ Pnma $) 0.8 57 点? 线? 等自旋三重态配对; 铁磁竞争序; 磁场
诱导两个超导相UIr 单斜 ($ P2_1 $) 0.15 (2.6 GPa) 49 — 多个铁磁相; 破缺中心反演; 混合宇称配对? U2PtC2 四方($ I4/mmm $) 1.47 150 — 无磁有序; 自旋三重态配对; 铁磁涨落 UPd2Al3 六方($ P6/mmm $) 2.0 200 线 反铁磁竞争序; 自旋单态配对;
磁场调制FFLO?UNi2Al3 六方($ P6/mmm $) 1.1 120 — 反铁磁竞争序; 自旋三重态配对; 超导
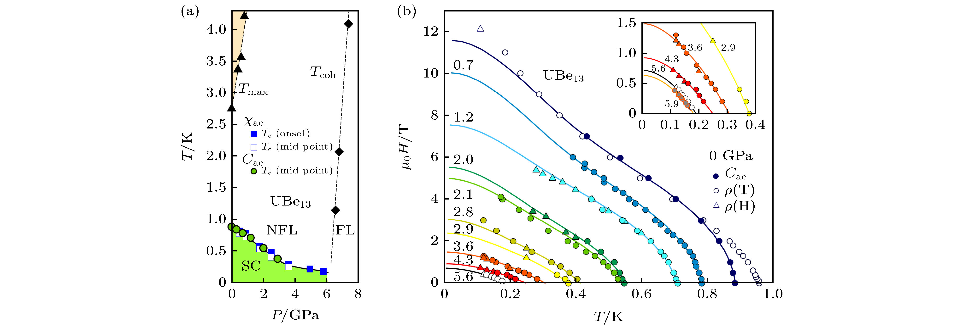
与反铁磁共存UBe13 立方($ Fm\bar{3}c $) 0.95 1000 无 非费米液体正常态; 自旋三重态配对;
Th掺杂诱导多个超导相UPt3 六方($ P6_3/mmc $) 0.530, 0.480 440 线+点 自旋三重态配对; 多个超导相; 低温超
导破缺时间反演对称性U6Fe 四方($ I4/mcm $) 3.8 157 — 电荷密度波竞争序; 磁场调制FFLO? URu2Si2 四方($ I4/mmm $) 1.53 70 线 隐藏序正常态; 自旋单态配对; 破缺
时间反演对称性Pr基 PrOs4Sb12 立方($ Im\bar3 $) 1.82, 1.74 500 点? 无? 磁场诱导反铁电四极矩序; 两个超导相; 低温超导破缺时间反演对称性 PrIr2Zn20 立方($ Fd\bar3 m $) 0.05 — — 反铁电四极矩竞争序 PrRh2Zn20 立方($ Fd\bar3 m $) 0.06 — — 反铁电四极矩竞争序 PrV2Al20 立方($ Fd\bar3 m $) 0.05 900 — 反铁电四极矩竞争序 PrTi2Al20 立方($ Fd\bar3 m $) 0.2 100 — 铁电四极矩竞争序 Pu基 PuCoGa5 四方($ P4/mmm $) 18.5 77 线 混合价态; 价态涨落机制? 自旋涨落机制? PuCoIn5 四方($ P4/mmm $) 2.5 200 线 混合价态; 自旋涨落机制 PuRhGa5 四方($ P4/mmm $) 8.7 70 线 混合价态; 自旋涨落机制 PuRhIn5 四方($ P4/mmm $) 1.6 350 线 混合价态; 价态涨落机制? 自旋涨落机制? Np基 NpPd5Al2 四方($ I4/mmm $) 4.9 200 点 非费米液体正常态 *表格中$ T_{\rm{c}}$后有括号表明为压力下超导, “—”表示尚无相关实验, “?”表示还不确定或存在争议. 表中主要数据及特殊性质可参考文献[65-68]. 对称性变换 自旋单态 自旋三重态 费米子交换$ P $ $ P\psi({{k}})=\psi(-{{k}})=\psi({{k}}) $ $ P{{d}}({{k}})={{d}}(-{{k}})=-{{d}}({{k}}) $ 空间旋转$ g $ $ g\psi({{k}})=\psi(D(g){{k}}) $ $ g{{d}}({{k}})={{d}}(D(g){{k}}) $ 自旋旋转$ g_s $ $ g_s\psi({{k}})=\psi({{k}}) $ $ g_s{{d}}({{k}})=\bar D(g_s){{d}}({{k}}) $1 时间反演$ \theta $ $ \theta\psi({{k}})=\psi^*(-{{k}}) $ $ \theta{{d}}({{k}})=-{{d}}^*(-{{k}}) $ 空间反演$ I $ $ I\psi({{k}})=\psi(-{{k}}) $ $ I{{d}}({{k}})={{d}}(-{{k}}) $ $ U(1) $规范$\varPhi$ $\varPhi\psi({{k} })={\rm e}^{{\rm i}\phi}\psi({{k} })$ $\varPhi{{d} }({{k} })={\rm e}^{{\rm i}\phi}{{d} }({{k} })$ *其中$D(g)$为晶体点群G的表示矩阵, $\bar D(g_s)$为SU(2)群的表示矩阵.
1存在自旋-轨道耦合时, 自旋的旋转与${{k}}$ 的旋转不再独立, 即$g_s{{d}}({{k}})=\bar D(g_s){{d}}(\bar D(g_s){{k}})$. -
[1] [2] [3] [4] [5] [6] [7] [8] [9] [10] [11] [12] [13] [14] [15] [16] [17] [18] [19] [20] [21] [22] [23] [24] [25] [26] [27] [28] [29] [30] [31] [32] [33] [34] [35] [36] [37] [38] [39] [40] [41] [42] [43] [44] [45] [46] [47] [48] [49] [50] [51] [52] [53] [54] [55] [56] [57] [58] [59] [60] [61] [62] [63] [64] [65] [66] [67] [68] [69] [70] [71] [72] [73] [74] [75] [76] [77] [78] [79] [80] [81] [82] [83] [84] [85] [86] [87] [88] [89] [90] [91] [92] [93] [94] [95] [96] [97] [98] [99] [100] [101] [102] [103] [104] [105] [106] [107] [108] [109] [110] [111] [112] [113] [114] [115] [116] [117] [118] [119] [120] [121] [122] [123] [124] [125] [126] [127] [128] [129] [130] [131] [132] [133] [134] [135] [136] [137] [138] [139] [140] [141] [142] [143] [144] [145] [146] [147] [148] [149] [150] [151] [152] [153] [154] [155] [156] [157] [158] [159] [160] [161] [162] [163] [164] [165] [166] [167] [168] [169] [170] [171] [172] [173] [174] [175] [176] [177] [178] [179] [180] [181] [182] [183] [184] [185] [186] [187] [188] [189] [190] [191] [192] [193] [194] [195] [196] [197] [198] [199] [200] [201] [202] [203] [204] [205] [206] [207] [208] [209] [210] [211] [212] [213] [214] [215] [216] [217] [218] [219] [220] [221] [222] [223] [224] [225] [226] [227] [228] [229] [230] [231] [232] [233] [234] [235] [236] [237] [238] [239] [240] [241] [242] [243] [244] [245] [246] [247] [248] [249] [250] [251] [252] [253] [254] [255] [256] [257] [258] [259] [260] [261] [262] [263] [264] [265] [266] [267] [268] [269] [270] [271] [272] [273] [274] [275] [276] [277] [278] [279] [280] [281] [282] [283] [284] [285] [286] [287] [288] [289] [290] [291] [292] [293] [294] [295] [296] [297] [298] [299] [300] [301] [302] [303] [304] [305] [306] [307] [308] [309] [310] [311] [312] [313] [314] [315] [316] [317] [318] [319] [320] [321] [322] [323] [324] [325] [326] [327] [328] [329] [330] [331] [332] [333] [334] [335] [336] [337] [338] [339] [340] [341] [342] [343] [344] [345] [346] [347] [348] [349] [350]
Catalog
Metrics
- Abstract views:16837
- PDF Downloads:1164
- Cited By:0












DownLoad:



















