In recent years, chirped pulse amplification (CPA) technology injects vitality into the development of ultra-strong and ultra-short lasers. However, in the CPA based gain media, the gain narrowing effect limits the higher output of ultrashort pulse in energy, power, signal-to-noise ratio. In order to compensate for the gain narrowing caused by the broadband amplification of Nb:glass in picosecond pewter laser system, a method of high-energy spectral shaping is proposed based on LiNbO
3birefringent crystal, and the spectral phase introduced by the crystal is analysed for the first time. Based on the strict Jones matrix, the transmittance function of birefringent crystal and the spectral phase introduced by the crystal are obtained. Further, three kinds of birefringent crystals are compared among each other, and the results show that the higher birefringence and the smaller thickness are required to achieve the same intensity modulation. For the laser pulse at 1053 nm, LiNbO
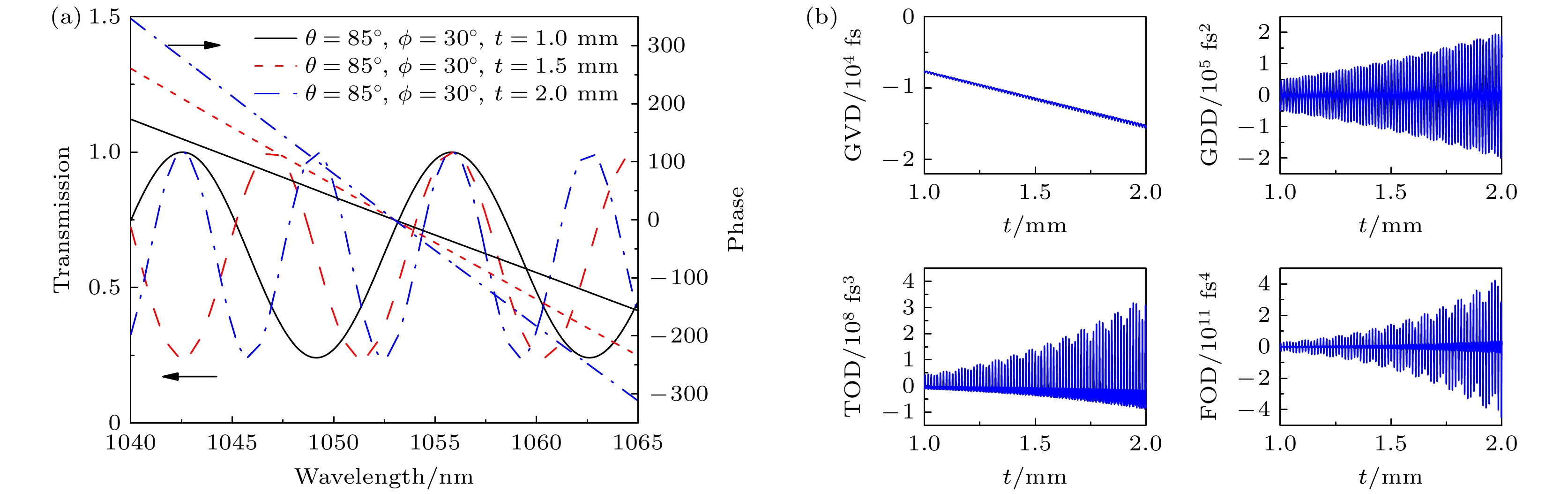
3is selected as the spectral shaping crystal due to its high birefringence, large diameter, and non-deliquescent. The influences of crystal thickness, tilt angle, and in-plane rotation angle on the spectral intensity modulation are simulated theoretically, and the results show the above parameters affect the modulation bandwidth, center wavelength, and modulation depth of the shaping. By analyzing the spectral phase introduced by the crystal, it is found that the dispersion of each order changes with the thickness of the crystal, the tilt angle, and the in-plane rotation angle, and it is the most sensitive to the change of thickness. In addition, by controlling the dispersion of each order, the influence on the pulse signal-to-noise ratio can be weakened during spectrum shaping. On the basis of theoretical analysis, the shaping experiment with a center wavelength of 1053 nm, modulation bandwidth of 10 nm, and modulation depth of 80% is carried out. And the phase introduced by the LiNbO
3is measured. The experimental results are consistent with the theoretical analysis. For the Shenguang Ⅱ high-energy petawatt laser system, by the above-mentioned shaping scheme, a high-energy broadband laser output of 1700 J and 6 nm (FWHM) is realized for the first time in China, which is 2 times that at 3.2 nm when it is not shaped. The research effectively compensates for the Nb:glass gain narrowing effect, and will provide references for the parameter design, material selection and spectral phase compensation in the birefringent spectral shaping.