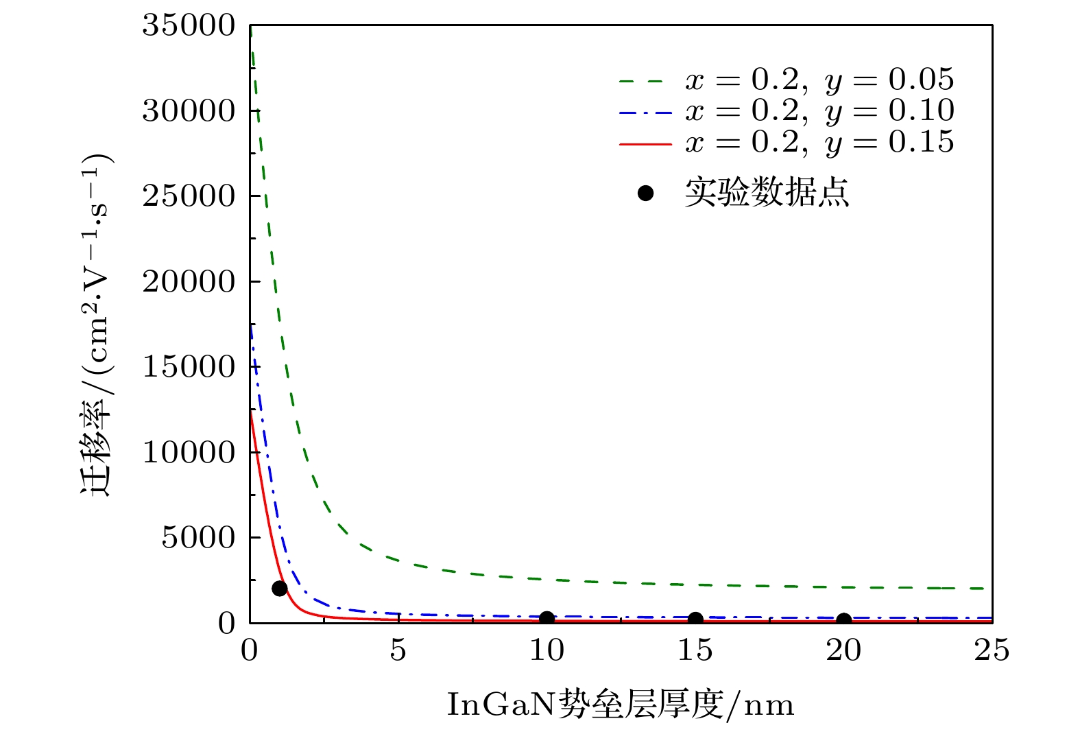
This paper studies the changes in electronic transport properties caused by InGaN as an AlGaN/GaN insertion layer, and considers the effects of the spontaneous polarization and piezoelectric polarization of AlGaN and InGaN barrier layers on the surface density of polarized charge, and the concentration of two-dimensional electron gas (2DEG) in Al
xGa
1–xN/In
yGa
1–yN/GaN double heterojunction high-electron-mobility transistor. The InGaN thickness and interface roughness scattering, random dipole scattering and polar optical phonons under different In molar compositions are analyzed. The calculation results show that the interface roughness scattering and random dipole scattering have an important influence on the electron transport properties of the double heterojunction Al
xGa
1–xN/In
yGa
1–yN/GaN, and the polar optical phonon scattering has the weakest influence; 2DEG concentration, the strength of interface roughness scattering, random dipole scattering and polar optical phonon scattering are determined by the thickness of the InGaN barrier layer and the molar composition of In. This paper takes 2DEG in the Al
xGa
1–xN/In
yGa
1–yN/GaN double heterojunction as the research object, considering the barrier layer of finite thickness, taking into account the spontaneous polarization effect and piezoelectric polarization effect of each layer, and giving Al
xGa
1–xN/GaN 2DEG characteristics in the In
yGa
1–yN/GaN double heterostructure, discussing the scattering of 2DEG concentration and interface roughness by changing the In molar composition and the thickness of the InGaN barrier layer under the same Al molar composition and the thickness of the AlGaN barrier layer, Random dipole scattering and polar optical phonon scattering. The results of the present study are of great significance in controlling the 2DEG concentration in the Al
xGa
1–xN/In
yGa
1–yN/GaN double heterojunction structure and improving the electron mobility. This paper presents the analytical expression of 2DEG concentration
n
sin Al
xGa
1–xN/In
yGa
1–yN/ GaN double heterostructure. The effects of the thickness of the InGaN insertion layer and the molar composition of indium on the 2DEG concentration, interface roughness scattering, random dipole scattering and total mobility are studied. According to the theoretical calculation results, on condition that the physical properties of the AlGaN barrier layer remain unchanged, choosing the appropriate InGaN barrier layer thickness and In molar composition concentration can better control the 2DEG concentration and carrier mobility. These results are beneficial to widely using the double heterojunction Al
xGa
1–xN/In
yGa
1–yN/GaN in actual nitride based semiconductor devices.