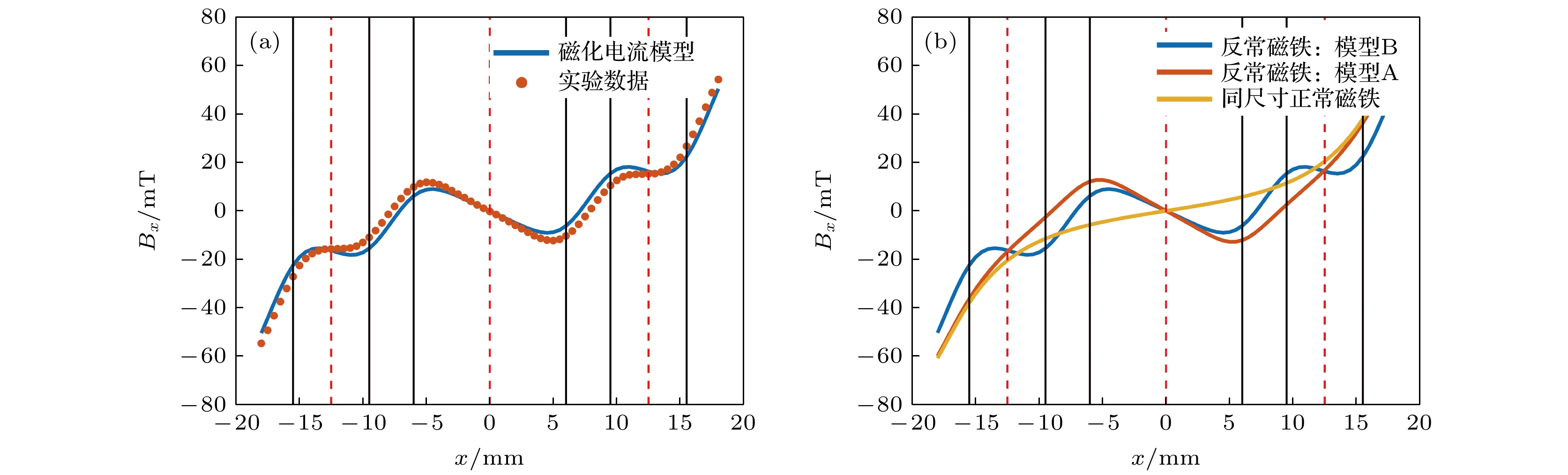
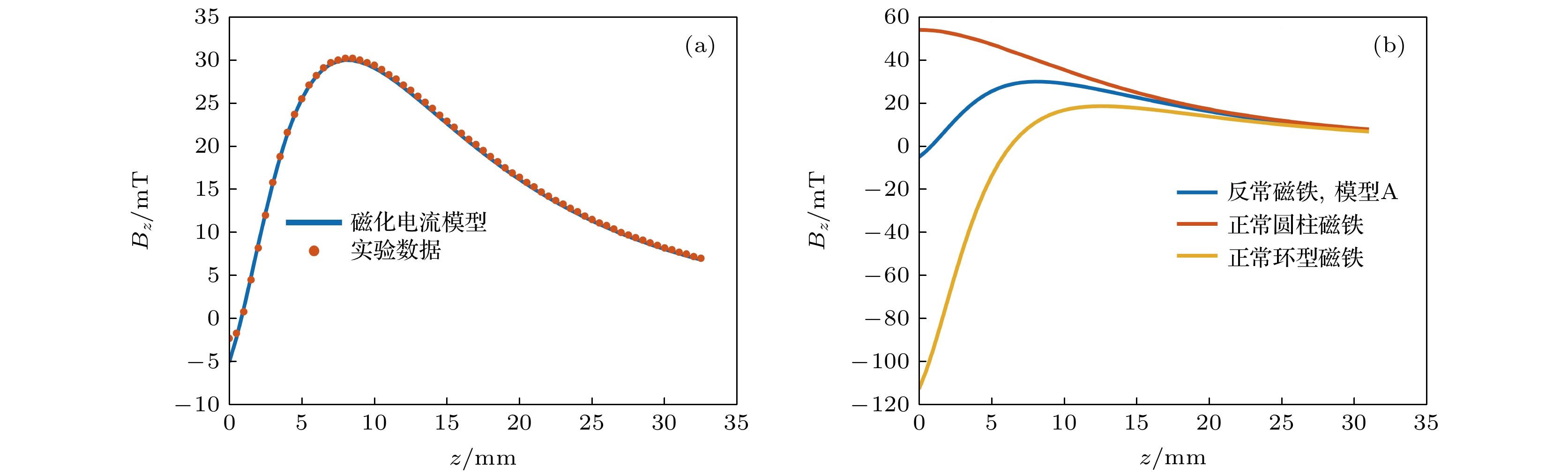
\begin{document}$\Phi40\times2.5$\end{document}) demagnetized at the center by a small magnet (\begin{document}$\Phi12\times18$\end{document}), model B was obtained by demagnetizing model A with 4 extra small magnets (\begin{document}$\Phi6\times20$\end{document}) at specific symmetrical positions around the center. Measurements for the magnetic induction intensity of the special multipole magnets are in good agreement with the theoretical calculations. The results suggested that the special multipole magnets of model A and B are equivalent to ring magnets and porous magnets, where the near field magnetic induction of the multipole magnets can be adjusted by the small magnets. In addition, a parameter analysis was carried out to study the influence of small magnets on the special multipole magnets. The results indicated that the reversed pole behavior of the special multipole magnet works mainly at positions near the magnet, and decreases rapidly as the observation point moves away from the reversed area. Our model may provide a theoretical basis and alternative solutions for electromechanical systems using multipole magnets."> - 必威体育下载

Search

Article

x

留言板

姓名
邮箱
手机号码
标题
留言内容
验证码

downloadPDF
Citation:

    Su Xu-Kun, Leng Yong-Gang, Zhang Yu-Yang, Fan Sheng-Bo
    PDF
    HTML
    Get Citation
    Metrics
    • Abstract views:5224
    • PDF Downloads:81
    • Cited By:0
    Publishing process
    • Received Date:08 March 2021
    • Accepted Date:06 April 2021
    • Available Online:07 June 2021
    • Published Online:20 August 2021

      返回文章
      返回
        Baidu
        map