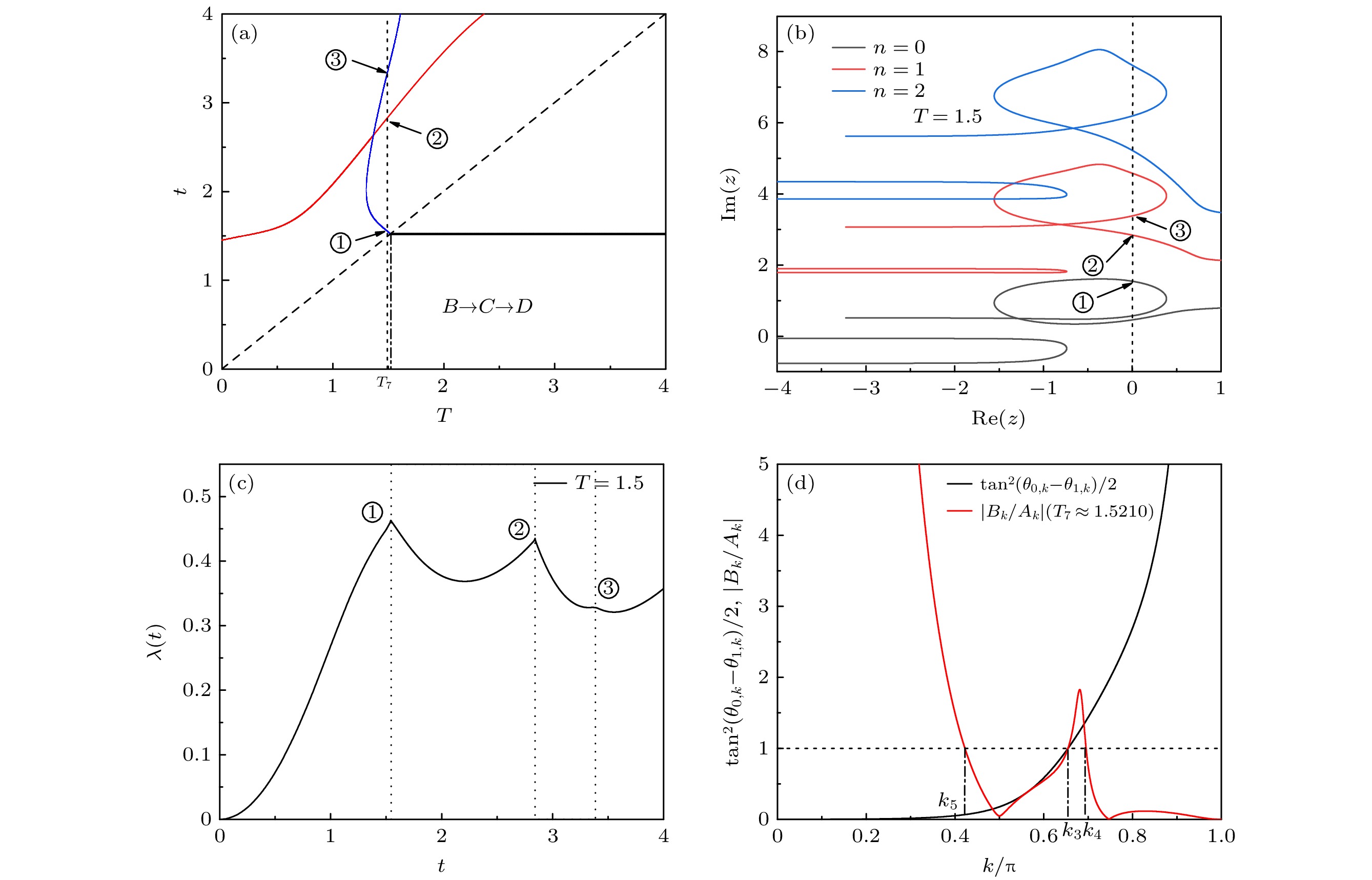
\begin{document}$H_{0}$\end{document} to \begin{document}$H_{1}$\end{document}, and then abruptly changed from \begin{document}$H_{1}$\end{document} to \begin{document}$H_{2}$\end{document} after a evolutionary time T. One can control at will whether or not DQPTs appear after the second quench by varying T. In this paper, we study the DQPTs arising from a double quench in the anisotropic \begin{document}$XY$\end{document} chain in a transverse field. The anisotropic \begin{document}$XY$\end{document} chain in a transverse field has two kinds of quantum phase transitions (Ising transition and anisotropic transition). We discuss mainly the effects of quench paths on the DQPTs of the transverse field \begin{document}$XY$\end{document} chain. By calculating the rate function of the Loschmidt echo and Fisher zeros, we find that there are three typical types of the critical times of DQPTs in the plane of the T and the evolution time t. Type I of critical times, which occurs only in a certain range of T, is related to the protocol of the Hamiltonian abruptly changed from \begin{document}$H_{0}$\end{document} to \begin{document}$H_{1}$\end{document}. Type II of critical times, which occurs all the time, is related to the protocol of the Hamiltonian abruptly changed from \begin{document}$H_{0}$\end{document} to \begin{document}$H_{2}$\end{document}. Type III of critical times, which occurs all the time, is related to the protocols of the Hamiltonian abruptly changed from \begin{document}$H_{0}$\end{document} to \begin{document}$H_{1}$\end{document} and \begin{document}$H_{0}$\end{document} to \begin{document}$H_{2}$\end{document}. When the double quench paths pass through the same kind of transition point, only the critical times corresponding to Type I will appear after the second quench. When the double quench paths pass through different kinds of transition points, the critical times after the second quench will appear any two of the above three types, which depend on the choice of quench path."> Dynamical quantum phase transitions in transverse field <i>XY</i> chain after a double quench - 必威体育下载

Search

Article

x

留言板

姓名
邮箱
手机号码
标题
留言内容
验证码

downloadPDF
Citation:

    Fu Hao, Cao Kai-Yuan, Zhong Ming, Tong Pei-Qing
    PDF
    HTML
    Get Citation
    Metrics
    • Abstract views:3538
    • PDF Downloads:84
    • Cited By:0
    Publishing process
    • Received Date:16 April 2021
    • Accepted Date:16 June 2021
    • Available Online:15 August 2021
    • Published Online:20 September 2021

      返回文章
      返回
        Baidu
        map