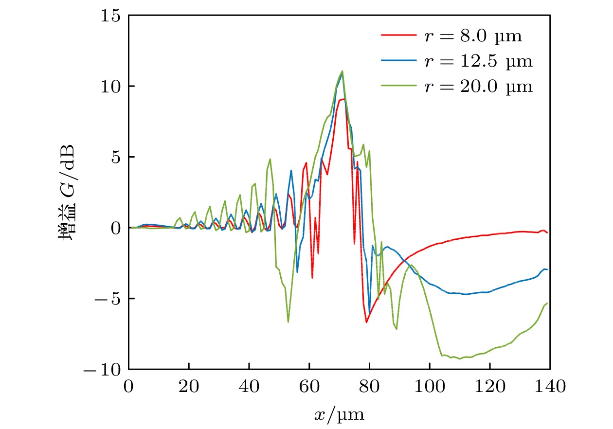
| [1] |
Xu Zhen, Luo Man, Li Ji-Ning, Liu Long-Hai, Xu De-Gang.Experimental study and simulation analysis of transmission characteristics of terahertz metal wire waveguides. Acta Physica Sinica, 2024, 73(11): 114203.doi:10.7498/aps.73.20240279 |
| [2] |
Ma Shao-Qing, Gong Shi-Xiang, Zhang Wei, Lu Cheng-Biao, Li Xiao-Li, Li Ying-Wei.Neuronal growth and development promoted by low-intensity roadband terahertz radiation. Acta Physica Sinica, 2022, 71(20): 208701.doi:10.7498/aps.71.20220636 |
| [3] |
Yan Zhong-Bao, Sun Shuai, Zhang Shuai, Zhang Yao, Shi Wei, Sheng Quan, Shi Chao-Du, Zhang Jun-Xiang, Zhang Gui-Zhong, Yao Jian-Quan.Effect of phase transition of vanadium dioxide on resonance characteristics of terahertz anti-resonant fiber and its applications. Acta Physica Sinica, 2021, 70(16): 168701.doi:10.7498/aps.70.20210084 |
| [4] |
Zhang Yao, Sun Shuai, Yan Zhong-Bao, Zhang Guo, Shi Wei, Sheng Quan, Fang Qiang, Zhang Jun-Xiang, Shi Chao-Du, Zhang Gui-Zhong, Yao Jian-Quan.Design and coupling characteristics of terahertz dual-core anti-resonant fiber. Acta Physica Sinica, 2020, 69(20): 208703.doi:10.7498/aps.69.20200662 |
| [5] |
Geng Jun-Xian, Li Shao-Qiang, Wang Shi-Qi, Huang Chun, Lü Yun-Jie, Hu Rui, Qu Jun-Le, Liu Li-Wei.Stimulating Ca2+photoactivation of nerve cells by near-infrared light. Acta Physica Sinica, 2020, 69(15): 158701.doi:10.7498/aps.69.20200489 |
| [6] |
Zhou Lu, Zhao Guo-Zhong, Li Xiao-Nan.Broadband terahertz vortex beam generation based on metasurface of double-split resonant rings. Acta Physica Sinica, 2019, 68(10): 108701.doi:10.7498/aps.68.20182147 |
| [7] |
Zhang Xue-Jin, Lu Yan-Qing, Chen Yan-Feng, Zhu Yong-Yuan, Zhu Shi-Ning.Terahertz surface polaritons. Acta Physica Sinica, 2017, 66(14): 148705.doi:10.7498/aps.66.148705 |
| [8] |
Liu Yong-Xin, Chen Zi-Yang, Pu Ji-Xiong.Propagation of stochastic electromagnetic high-order Bessel-Gaussian beams in the oceanic turbulence. Acta Physica Sinica, 2017, 66(12): 124205.doi:10.7498/aps.66.124205 |
| [9] |
Fu Ya-Nan, Zhang Xin-Qun, Zhao Guo-Zhong, Li Yong-Hua, Yu Jia-Yi.A broadband polarization converter based on resonant ring in terahertz region. Acta Physica Sinica, 2017, 66(18): 180701.doi:10.7498/aps.66.180701 |
| [10] |
Dai Yu-Han, Chen Xiao-Lang, Zhao Qiang, Zhang Ji-Hua, Chen Hong-Wei, Yang Chuan-Ren.Tunable split ring resonators in terahertz band. Acta Physica Sinica, 2013, 62(6): 064101.doi:10.7498/aps.62.064101 |
| [11] |
Ding Pan-Feng, Pu Ji-Xiong.Analysis of the facula of partially coherent vortex beam in propagation. Acta Physica Sinica, 2012, 61(17): 174201.doi:10.7498/aps.61.174201 |
| [12] |
Tan Zhi-Yong, Chen Zhen, Han Ying-Jun, Zhang Rong, Li Hua, Guo Xu-Guang, Cao Jun-Cheng.Experimental realization of wireless transmission based on terahertz quantumcascade laser. Acta Physica Sinica, 2012, 61(9): 098701.doi:10.7498/aps.61.098701 |
| [13] |
Han Yu, Yuan Xue-Song, Ma Chun-Yan, Yan Yang.Study of a gyrotron oscillator with corrugated interaction cavity. Acta Physica Sinica, 2012, 61(6): 064102.doi:10.7498/aps.61.064102 |
| [14] |
Huang Yong-Chao, Zhang Ting-Rong, Chen Sen-Hui, Song Hong-Yuan, Li Yan-Tao, Zhang Wei-Lin.Propagation of elliptical Gaussian beam in uniaxialcrystal orthogonal to the optical axis. Acta Physica Sinica, 2011, 60(7): 074212.doi:10.7498/aps.60.074212 |
| [15] |
Ruan Cun-Jun, Wang Shu-Zhong, Han Ying, Li Qing-Sheng.Investigation on focus and transport characteristics of high transmission rate sheet electron beam. Acta Physica Sinica, 2011, 60(8): 084105.doi:10.7498/aps.60.084105 |
| [16] |
Ding Pan-Feng, Pu Ji-Xiong.Propagation of Laguerre-Gaussian vortex beam. Acta Physica Sinica, 2011, 60(9): 094204.doi:10.7498/aps.60.094204 |
| [17] |
Du Guang-Xing, Qian Bao-Liang.Propagation of the intense relativistic sheet electron beam with a quasi-rectangular cross section. Acta Physica Sinica, 2010, 59(7): 4626-4633.doi:10.7498/aps.59.4626 |
| [18] |
Liang Lin-Yun, Dai Song-Yuan, Fang Xia-Qin, Hu Lin-Hua.Research on the electron transport and back-reaction kinetics in TiO2 films applied in dye-sensitized solar cells. Acta Physica Sinica, 2008, 57(3): 1956-1962.doi:10.7498/aps.57.1956 |
| [19] |
Yan Sen-Lin.Nonlinear evolution of chaotic signal transmission in optical fiber. Acta Physica Sinica, 2007, 56(4): 1994-2004.doi:10.7498/aps.56.1994 |
| [20] |
Yin Jian-Ling, Liu Cheng-Yi, Yang You-Yuan, Liu Jiang, Fan Guang-Han.Effective ABCD formulation of the propagation of the atom laser. Acta Physica Sinica, 2004, 53(2): 356-361.doi:10.7498/aps.53.356 |