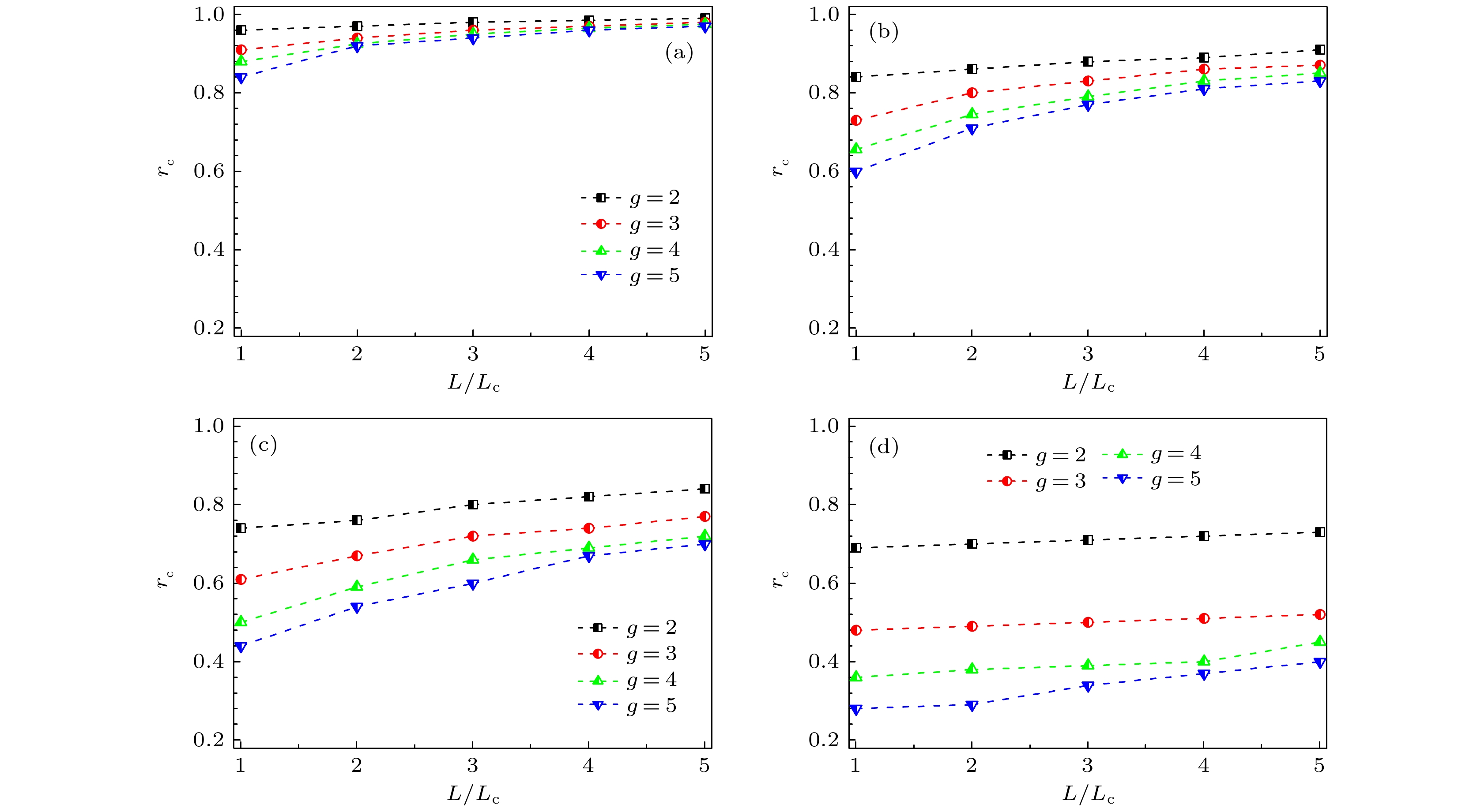
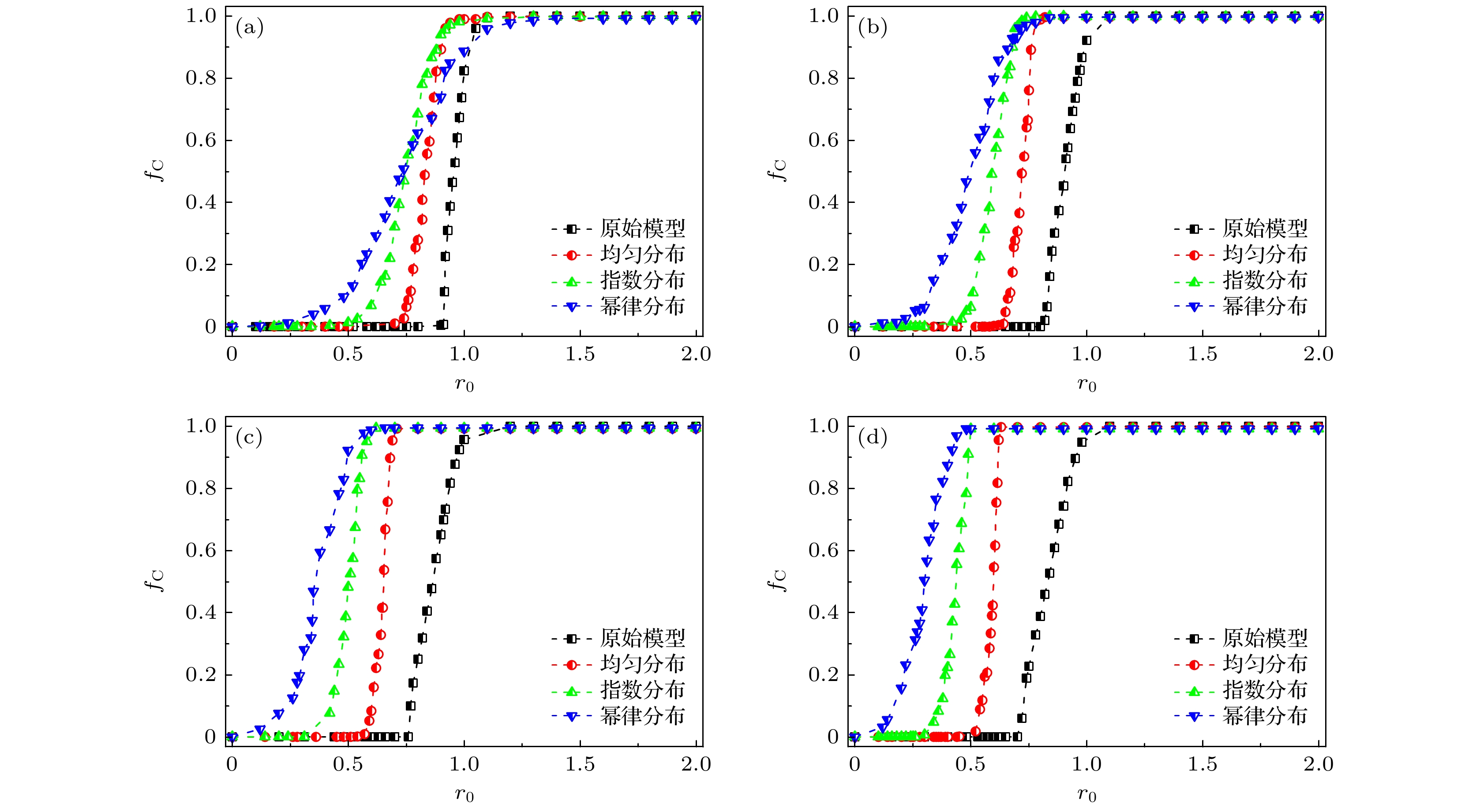
\begin{document}$r_0$\end{document}, the highest cooperation level can be obtained under the power-law distribution, while the uniform distribution leads to the lowest cooperation level. We provide an explanation through investigating the number of cooperators in each group. In addition, to probe into the essence that influences the survival of cooperative behaviors, we study the time series of the fraction of groups with different numbers of cooperators. Besides, we also investigate the influence of the number of hyperlinks on cooperation evolution. We find that the results are robust against the number of hyperlinks L, and the emergence of cooperative behaviors in public goods games on hypergraphs is hindered with the value of L increasing. To some extent, these results are helpful in the better understanding of the evolutionary dynamics of the spatial public goods games on hypergraphs with social diversity."> - 必威体育下载

Search

Article

x

留言板

姓名
邮箱
手机号码
标题
留言内容
验证码

downloadPDF
Citation:

    Chen Wei-Ying, Pan Jian-Chen, Han Wen-Chen, Huang Chang-Wei
    PDF
    HTML
    Get Citation
    Metrics
    • Abstract views:4023
    • PDF Downloads:112
    • Cited By:0
    Publishing process
    • Received Date:30 December 2021
    • Accepted Date:24 February 2022
    • Available Online:23 May 2022
    • Published Online:05 June 2022

      返回文章
      返回
        Baidu
        map