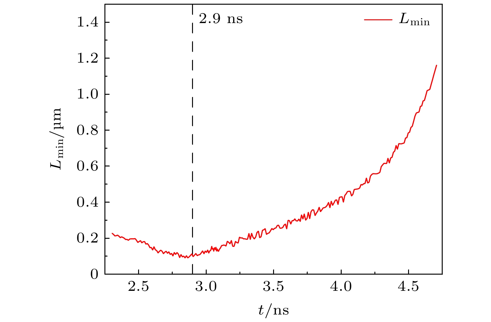
2020 Philos. Trans. A Math. Phys. Eng. Sci. 378 20200015). Both analytical model and one-dimensional simulations indicate that the fuel shells are compressed with low adiabat under the current quasi-isentropic waveform. The Rayleigh-Taylor instability remains in safe region with a maximum perturbation amplitude reaching 0.25 of the shell thickness at the most peak grown moment. The growth of the hydrodynamic instabilities can be further reduced by increasing the thickness of the shell, through using high foot pre-pulses and improving the uniformity of the target surface and laser irradiation in the future design."> Analytical studies of Rayleigh-Taylor instability growth of double-cone ignition scheme in 2020 winter experimental campaign - 必威体育下载

Search

Article

x

留言板

姓名
邮箱
手机号码
标题
留言内容
验证码

downloadPDF
Citation:

Fang Ke, Zhang Zhe, Li Yu-Tong, Zhang Jie
PDF
HTML
Get Citation
Metrics
  • Abstract views:4752
  • PDF Downloads:188
  • Cited By:0
Publishing process
  • Received Date:22 June 2021
  • Accepted Date:09 September 2021
  • Available Online:23 January 2022
  • Published Online:05 February 2022

    返回文章
    返回
      Baidu
      map