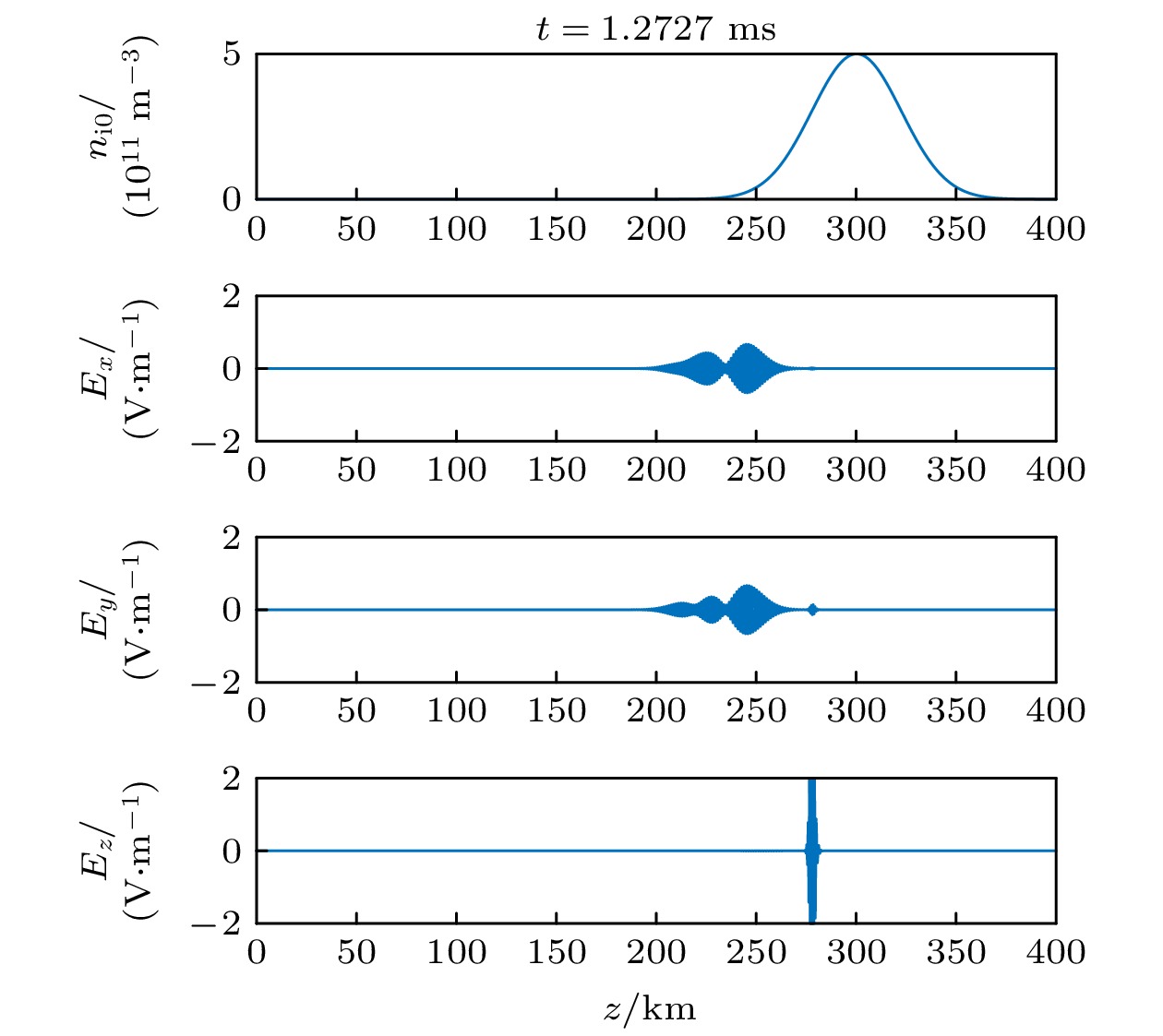
Based on the generalized Zakharov model, a numerical model of electromagnetic wave propagating in the ionosphere at different angles is established by combining the finite difference time domain (FDTD) method of obliquely incident plasma with the double hydrodynamics equation and through equivalently transforming the two-dimensional Maxwell equation into one-dimensional Maxwell equation and the plasma hydrodynamics equation. In this paper. the dominant equation of Z-wave in obliquely incident nonlinear ionospheric plasma having been analyzed and deduced, the FDTD algorithm suitable for calculating the propagation characteristics of ionospheric electromagnetic wave is deduced. The simulation results prove the accuracy and effectiveness of this method for the Langmuir disturbance caused by electromagnetic wave heating the ionosphere at a small inclination angle. The results show that under small angle incidence, the high-power high-frequency electromagnetic wave excites the Langmuir wave near the O-wave reflection point in the ionospheric plasma. At the same time, the wave particle interaction causes the O-wave to convert into Z-wave and propagate into the higher region of the ionosphere. In this work, the electromagnetic wave propagation characteristics are further studied based on ionospheric plasma, which is helpful in laying the foundation of numerical algorithm for comprehensively and in depth analyzing the influence of ionospheric Langmuir disturbance on ionospheric radio wave propagation characteristics.