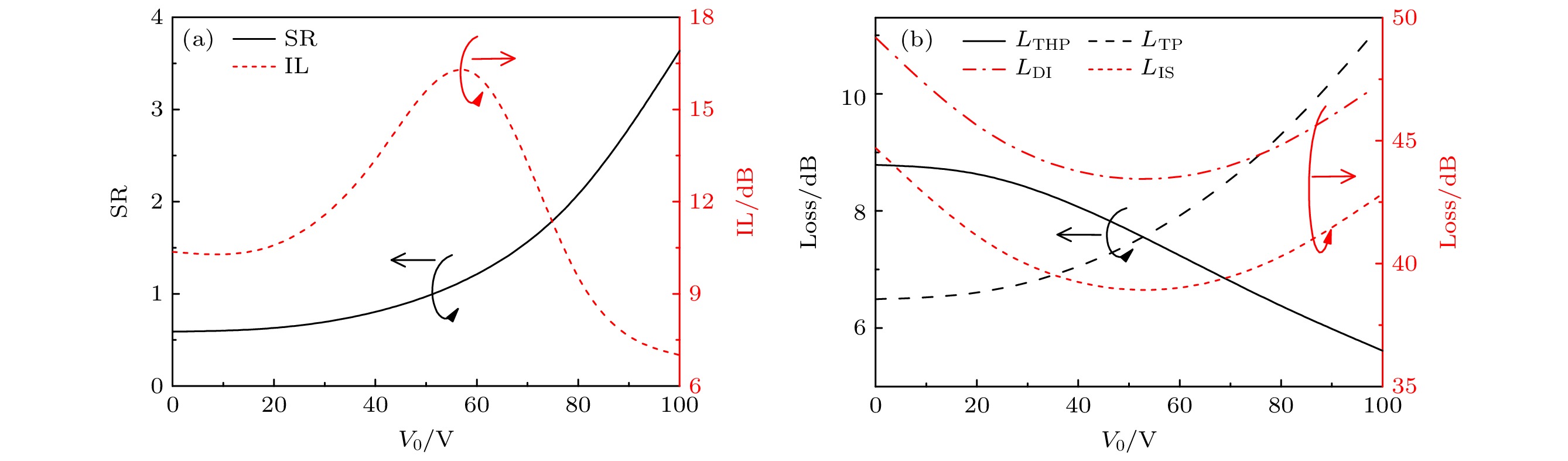
To meet the increasing demand of integrated photonic device design, a LiNbO
3/Na surface plasmonic waveguide (LNSPW) is demonstrated, and a directional coupler (DC) based on the LNSPW is also studied. The mode characteristics of the LNSPW and the coupling performances of the DC are simulated by the finite element method (FEM). There are four modes in the LNSPW when its width (
w
1) and the thickness (
h
1) are less than 600 nm and 400 nm, respectively. The number of the modes in the LNSPW increases with waveguide size increasing. To achieve the single-mode propagation,
w
1and
h
1are chosen to be 300 nm and 200 nm, respectively. The effective refractive index (
n
eff), propagation length (
L
p), and normalized effective mode area (
A
eff/
A
0) are analyzed with different dimensional parameters of the LNSPW. The value of
L
pis ~200 μm, and
A
eff/
A
0is less than 0.4. In order to demonstrate the electro-optic tunable performance, the normalized output power (
P
norm) values of the DC are calculated based on the LNSPWs with different values of coupling interval (
W
gap), coupling length (
L
C), and operating wavlength (
λ). The
P
normvalues of the output ports (port 2 and port 3) vary with
W
gapand
L
C. Owing to the electro-optic effect of LiNbO
3(LN),
P
normof the DC can be adjusted by changing the applied electrostatic voltage (
V
0). The influence of
V
0on
P
normincreases when
W
gapis larger than 100 nm and
L
Cis greater than 12 μm. The larger the value of
L
Cand
W
gap, the stronger the effect of
V
0on
P
normis, but
P
normvalues from two output ports decrease with
W
gapand
L
Cincreasing. A 3 dB coupler can be achieved by changing
V
0to 53 V when
W
gap= ~100 nm,
L
C= ~17 μm, and
λ= 1.55 μm, and has good directivity and isolation. The LNSPW provides a feasible scheme to realize the tunable DC, and has potential applications in integratable electro-optic tuanble devices, nonlinear optics, optical signal processing, and optical holographic storage.