-
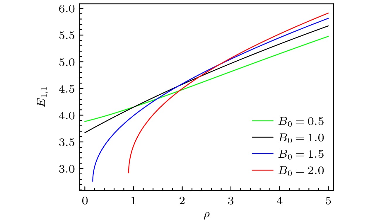
In this paper, the generalized Klein-Gordon oscillator is studied in the framework of Lorentz symmetry violation, and the Nikiforov-Uvarov method is used to analyze the Klein-Gordon oscillator with and without magnetic field. On this basis, we analyze some special cases of Klein-Gordon oscillators with Cornell potential functions in detail. The results show that the wave function and the energy eigenvalues of the generalized Klein-Gordon oscillator obviously depend on the Lorentz symmetry violation effect, and the Cornell potential function also has a non-negligible effect on the Klein-Gordon oscillator.
-
Keywords:
- Lorentz symmetry violation/
- Klein-Gordon oscillator/
- Cornell potential/
- relativistic bound states
[1] [2] [3] [4] [5] [6] [7] [8] [9] [10] [11] [12] [13] [14] [15] [16] [17] [18] [19] [20] [21] [22] [23] [24] [25] [26] [27] [28] [29] [30] [31] [32] [33] [34] [35] [36] [37] [38] [39] [40] [41] [42] [43] [44] [45] [46] [47] [48] -
[1] [2] [3] [4] [5] [6] [7] [8] [9] [10] [11] [12] [13] [14] [15] [16] [17] [18] [19] [20] [21] [22] [23] [24] [25] [26] [27] [28] [29] [30] [31] [32] [33] [34] [35] [36] [37] [38] [39] [40] [41] [42] [43] [44] [45] [46] [47] [48]
Catalog
Metrics
- Abstract views:3647
- PDF Downloads:68
- Cited By:0












DownLoad:


