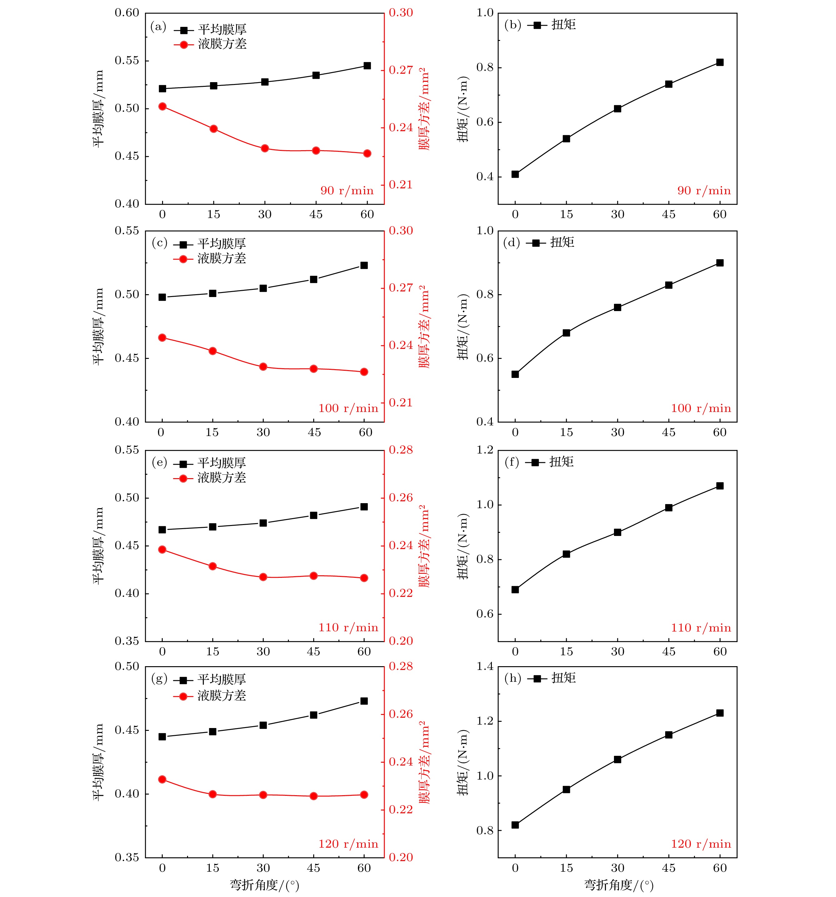
Agitated thin film evaporator (ATFE) is a new type of high-efficiency evaporator where a film is forced to form through a rotating scraper and the high-viscosity non-Newtonian flow materials can be evaporated smoothly. The flow distribution and transmission mechanism of the material in the evaporator directly determine the evaporation efficiency and power consumption of the evaporator. Unlike previous study that was based mainly on Newtonian flow, this paper establishes a three-dimensional computational fluid dynamics model of ATFE for non-Newtonian flow with different viscosities, and systematically probes the flow field distribution characteristics and film forming mechanism in the evaporator. The results show that the flow field distribution characteristics of low-viscosity non-Newtonian flow are similar to those of Newtonian flow, the material can form a uniform and continuous liquid film on the wall; as the viscosity increases, the uniformity and continuity of the liquid film gradually deteriorate. Through studying the flow field distribution and transmission form of the materials, and combining the liquid film distribution, velocity distribution, shear strain rate distribution, and viscosity distribution, it is found that the shear field and viscosity distribution formed by the internal structure and operating state of the evaporator are the key to the good film formation. In addition, it is proposed that the bending of the leading edge of the scraper can assist the spreading of high viscous fluid liquid film, and the best bending angle is explored. This research provides theoretical guidance and basis for the design and application of ATFE.