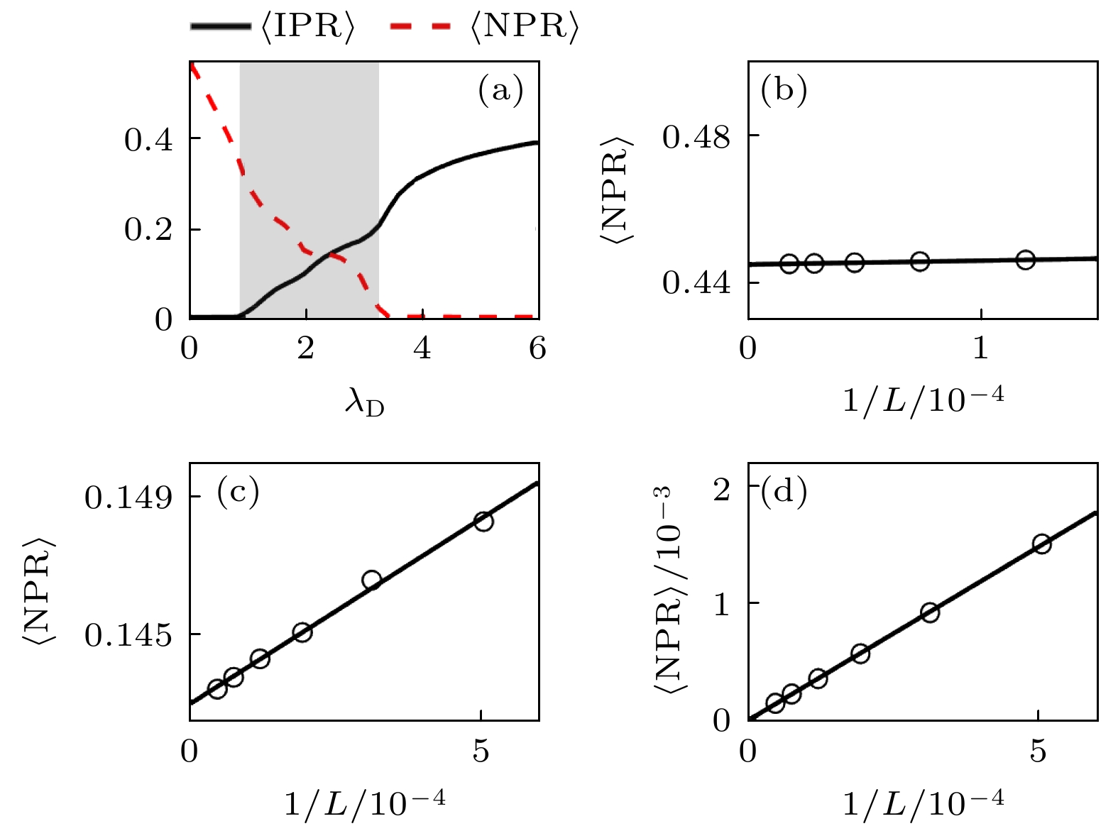
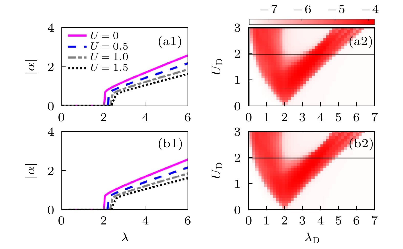
\begin{document}$x\text-y$\end{document} plane and the cavity is along the x direction. A pump laser shines on atoms from the z direction. Under the mean-field approximation, we consider the emergence of the quasi-periodic potentials induced by superradiance in the ladder lattice, which is described by \begin{document}$\hat{H}_{\text{MF}}=\hat{H}_{\text{Lad}}+\hat{V}_{\text{eff}}$\end{document} with the effective potential \begin{document}$\hat{V}_{\text{eff}}(\alpha)={\displaystyle \sum\nolimits_{i = 1}^{N}}\displaystyle \sum\nolimits_{\sigma = 1,2}\left[\lambda_{\rm{D}}\cos({2\pi\beta i})+U_{\rm{D}}\cos^{2}({2\pi\beta i})\right]\hat{c}^{†}_{i,\sigma}\hat{c}_{i,\sigma}$\end{document}. We find that the quasi-periodic potential can induce the reentrant localization transition and the regime with mobility edges. In the smaller \begin{document}$U_{\rm{D}}$\end{document} case, the system exhibits a localization transition. The transition is associated with an intermediate regime with mobility edges. When \begin{document}$U_{\rm{D}}$\end{document} goes beyond a critical value \begin{document}$U_{\rm{D}}^{(\rm c)}$\end{document}, with the increase of \begin{document}$\lambda_{\rm{D}}$\end{document}, the system undergoes a reentrant localization transition. This indicates that after the first transition, some of the localized eigenstates change back to the extended ones for a range of \begin{document}$\lambda_{\rm{D}}$\end{document}. For a larger \begin{document}$\lambda_{\rm{D}}$\end{document}, the system experiences the second localization transition, then all states become localized again. Finally, the local phase diagram of the system is also discussed. This work builds a bridge between the reentrant localization and the superradiance, and it provides a new perspective for the reentrant localization."> - 必威体育下载

Search

Article

x

留言板

姓名
邮箱
手机号码
标题
留言内容
验证码

downloadPDF
Citation:

Wu Jin, Lu Zhan-Peng, Xu Zhi-Hao, Guo Li-Ping
PDF
HTML
Get Citation
Metrics
  • Abstract views:4158
  • PDF Downloads:169
  • Cited By:0
Publishing process
  • Received Date:05 December 2021
  • Accepted Date:18 January 2022
  • Available Online:04 March 2022
  • Published Online:05 June 2022

    返回文章
    返回
      Baidu
      map