-
In this paper, experimental values of nuclear charge radii in database published in 2013 (CR2013 database) are systematically investigated. We analyze the relationship among the three neighboring nuclei based on the nuclear charge radius of isotope chain in the database. Then we obtain a new nuclear charge radius relation for atomic nuclei: the charge radius of a given nucleus is equal to the average of the charge radii of its two neighboring nuclei. We calculate the nuclear charge radius by combining the new relation with CR2013 database, the root-mean-squared deviation (RMSD) between our calculated values and the experimental values in CR2013 database is small: for nuclei with A
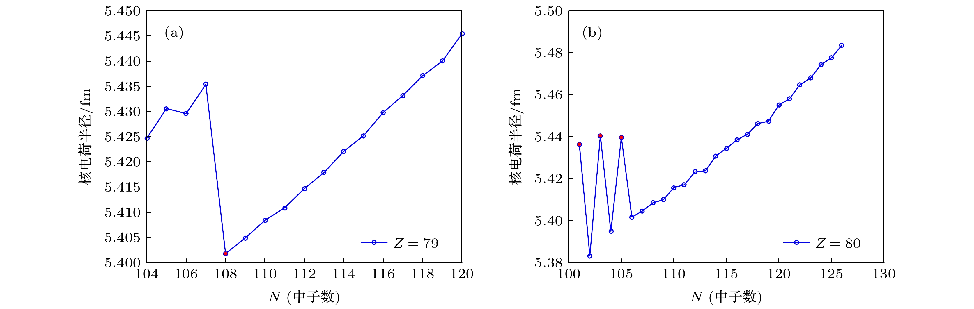
$\geqslant$ 20 (proton number Z$\geqslant$ 10 and neutron number N$\geqslant$ 10), the RMSD$\approx$ 0.00471 fm; for nuclei with A$\geqslant$ 54, the RMSD reaches an accuracy of RMSD$\approx$ 0.00337 fm. The systematicness of nuclear charge radius in heavy nucleus region is better than that in the light nucleus region, so that the values are more precise in the heavy nucleus region. In the meantime, we also use the odd-even staggering to improve the accuracy of nuclear charge radius: the accuracy increases by about 6.8%. In addition, according to the CR1999 and CR2004 database and the new relation, we make some predictions about some nuclear charge radii, and we find that our predicted values only slightly deviate from the experimental values in CR2013 database. The difference between our predicted value based on CR2013 database and experimental value measured in recent years is small. These results show that the proposed new relation used to study nuclear charge radius is feasible and accurate. The predicted values can provide a valuable reference for future experiments.-
Keywords:
- nuclear charge radius/
- isotope chain/
- odd-even staggering
[1] [2] [3] [4] [5] [6] [7] [8] [9] [10] [11] [12] [13] [14] [15] [16] [17] [18] [19] [20] [21] [22] [23] [24] [25] [26] [27] [28] [29] [30] [31] [32] [33] [34] [35] [36] [37] [38] [39] [40] [41] [42] [43] [44] -
Nucleus $2013^{{\rm{Exp}}}$/fm $R_{\rm{{th1}} }$/fm dev1/fm Nucleus $2013^{{\rm{Exp}}}$/fm $R_{\rm{{th1}} }$/fm dev1/fm $^{23}$Ne 2.9104 2.9355 –0.0251 $^{126}$Sn 4.6833 4.6795 0.0038 $^{37}$Ar 3.3908 3.3967 –0.0059 $^{127}$Xe 4.7747 4.7761 –0.0014 $^{39}$Ar 3.4093 3.4151 –0.0058 $^{133}$Xe 4.7831 4.7895 –0.0064 $^{40}$K 3.4381 3.4434 –0.0053 $^{133}$Ba 4.8286 4.835 –0.0064 $^{41}$Ca 3.478 3.5068 –0.0288 $^{139}$Ba 4.8513 4.8442 0.0071 $^{45}$Ca 3.4944 3.5235 –0.0291 $^{141}$Nd 4.9057 4.8992 0.0065 $^{45}$Ti 3.5939 3.6178 –0.0239 $^{146}$Sm 4.9808 4.9742 0.0066 $^{47}$Ca 3.4783 3.4862 –0.0079 $^{151}$Sm 5.055 5.0622 –0.0072 $^{67}$Zn 3.953 3.9575 –0.0045 $^{153}$Sm 5.0925 5.0936 –0.0011 $^{79}$Kr 4.2034 4.2004 0.003 $^{160}$Dy 5.1951 5.185 0.0101 $^{81}$Kr 4.1952 4.1956 –0.0004 $^{169}$Yb 5.2771 5.28 –0.0029 $^{85}$Kr 4.1846 4.1878 –0.0032 $^{175}$Yb 5.3135 5.3166 –0.0031 $^{85}$Sr 4.2304 4.2358 –0.0054 $^{175}$Hf 5.3191 5.3263 –0.0072 $^{86}$Rb 4.2025 4.2013 0.0012 $^{187}$Os 5.3933 5.3961 –0.0028 $^{89}$Sr 4.2407 4.2231 0.0176 $^{193}$Pt 5.4191 5.4202 –0.0011 $^{89}$Zr 4.2706 4.2543 0.0163 $^{195}$Pb 5.4389 5.4442 –0.0053 $^{107}$Cd 4.5466 4.548 –0.0014 $^{197}$Hg 5.4412 5.4452 –0.004 $^{109}$Cd 4.5601 4.5678 –0.0077 $^{201}$Hg 5.4581 5.4614 –0.0033 $^{109}$Sn 4.5679 4.5734 –0.0055 $^{203}$Hg 5.4679 5.4696 –0.0017 $^{114}$In 4.6056 4.6083 –0.0027 $^{204}$Tl 5.4704 5.4712 –0.0008 $^{115}$Cd 4.6114 4.6153 –0.0039 $^{236}$U 5.8431 5.8383 0.0048 Nucleus $ 2013^{ {\rm{Exp} }} $/fm $R_{\rm th2}$/fm dev2/fm $^{39}$Ga 3.4595 3.4772 –0.0177 $^{41}$Ar 3.4251 3.4455 –0.0204 $^{45}$Ti 3.5939 3.6178 –0.0239 $^{67}$Zn 3.953 3.9575 –0.0045 $^{77}$Sr 4.2569 4.2536 0.0033 $^{117}$Cd 4.6136 4.6258 –0.0122 $^{126}$Sn 4.6833 4.6795 0.0038 $^{127}$Xe 4.7747 4.7761 –0.0014 $^{133}$Xe 4.7831 4.7895 –0.0064 $^{137}$Eu 4.9762 4.9798 –0.0036 $^{155}$Yb 5.104 5.1047 –0.0007 $^{157}$Yb 5.1324 5.1358 –0.0034 $^{159}$Yb 5.1629 5.1656 –0.0027 $^{169}$Yb 5.2771 5.2787 –0.0016 $^{171}$Hf 5.3041 5.2986 0.0055 $^{175}$Yb 5.3135 5.3166 –0.0031 $^{189}$Pb 5.4177 5.4215 –0.0038 $^{195}$Pb 5.4389 5.4428 –0.0039 $^{204}$Tl 5.4704 5.4725 –0.0021 -
[1] [2] [3] [4] [5] [6] [7] [8] [9] [10] [11] [12] [13] [14] [15] [16] [17] [18] [19] [20] [21] [22] [23] [24] [25] [26] [27] [28] [29] [30] [31] [32] [33] [34] [35] [36] [37] [38] [39] [40] [41] [42] [43] [44]
Catalog
Metrics
- Abstract views:4091
- PDF Downloads:87
- Cited By:0












DownLoad:



