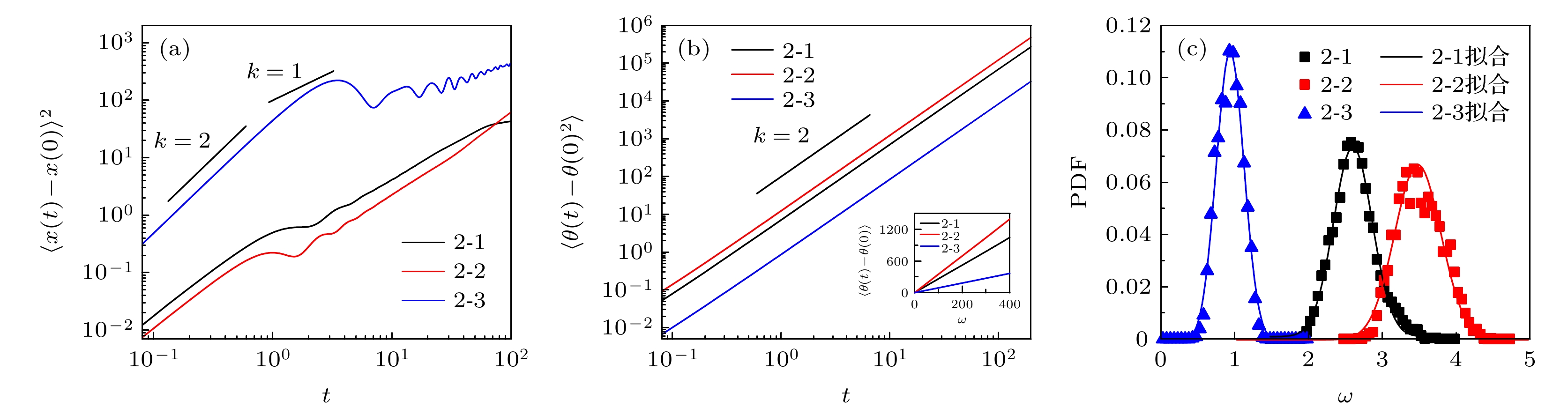
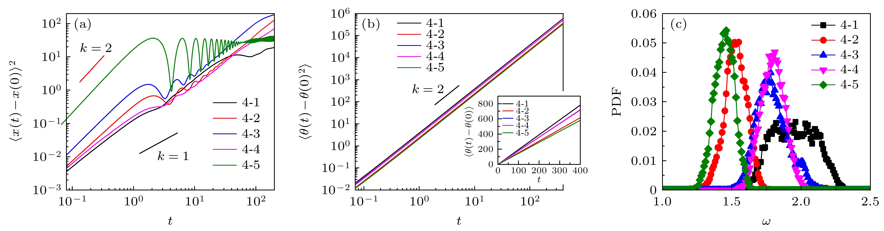
In recent years, active matter has attracted tremendous research interest. Active matter displays many phenomena, such as super-diffusion, huge fluctuation and collective motion. The shape of active agent plays a critical role in the self-assembly of active matter. Understanding the oligomers’ dynamics of active agents is the first step to study the self-assembly of massive agents. Here, we design a self-properlling particle with the “十” shape using the Hexbug robot and investigate the dynamics of oligomers composed of these particles. To track the position of particles, the top of the particles is marked by black cards with white dots in the center. We find that these particles can agglomerate together to form stable oligomers consisting of two, three, or four particles. We study the dynamics by analyzing the trajectory, mean-square displacement, angular velocity, angular velocity distribution and the curvature distribution. We find that the dynamics can be divided into two types. One is the combination of eccentric rotation with small circular radius and irregular translation, which occurs in the system with the zero resultant force and nonzero torque. The other is the eccentric rotation with a large circular radius, which appears in the system in which both the resultant force and torque are not zero. In addition, we find that the translational dynamics of oligomers displays a super diffusion on a short time scale, influenced by the confirguration of oligomers. Further, the larger torque and the smaller moment of inertia result in the bigger angle speed of oligomers. Moreover, we investigate the curvature distribution of the trimer and find that the faster the angle speed of the trimer, the bigger its curvature is.