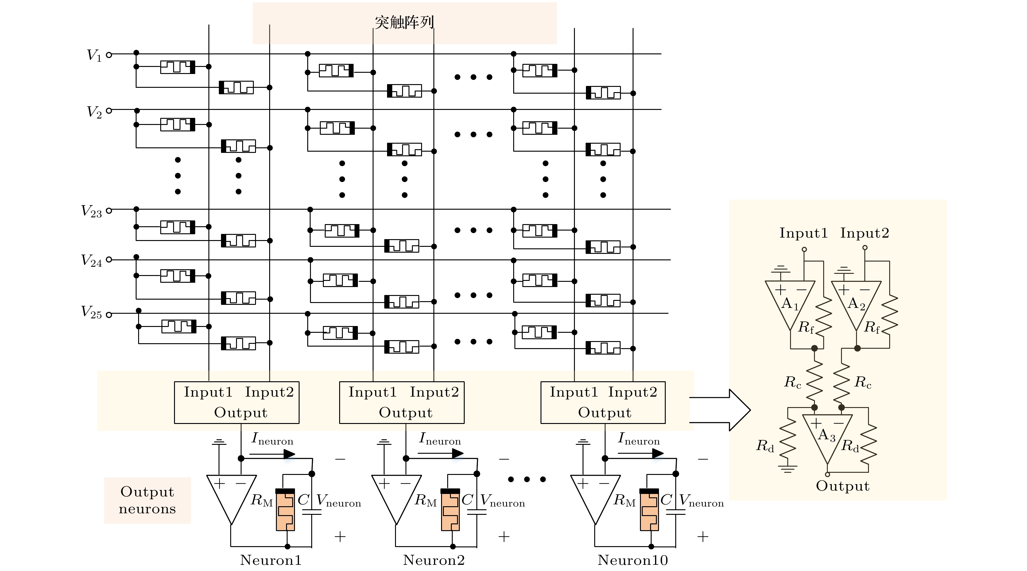
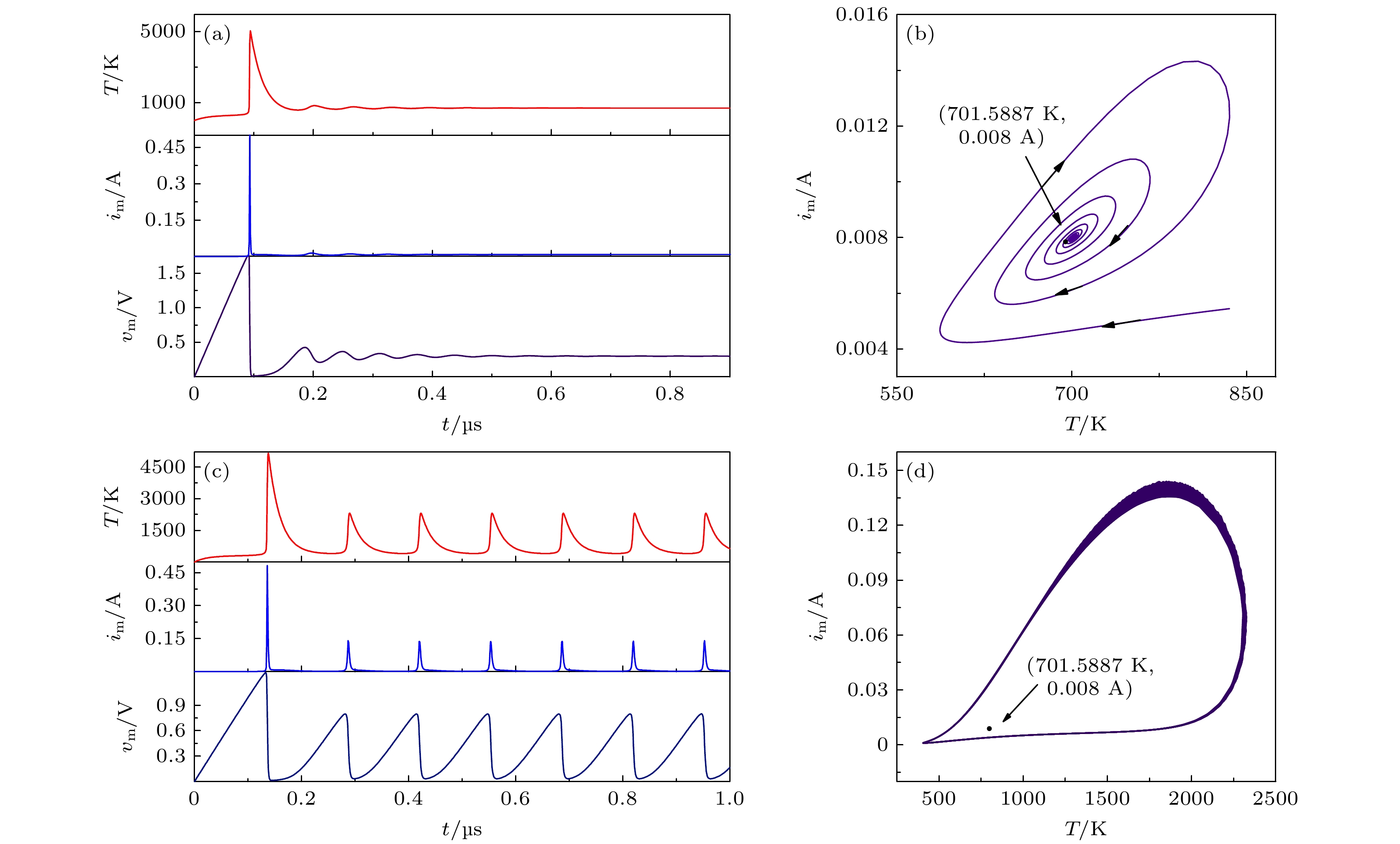
| [1] |
Wang Xuan, Du Jian-Rong, Li Zhi-Jun, Ma Ming-Lin, Li Chun-Lai.Coexisting discharge and synchronization of heterogeneous discrete neural network with crosstalk memristor synapses. Acta Physica Sinica, 2024, 73(11): 110503.doi:10.7498/aps.73.20231972 |
| [2] |
Jia Mei-Mei, Cao Jia-Wei, Bai Ming-Ming.Firing Modes and Predefined-time Chaos Synchronization of Novel Memristor-coupled Heterogeneous Neuron. Acta Physica Sinica, 2024, 0(0): .doi:10.7498/aps.73.20240872 |
| [3] |
Wang Meng-Jiao, Yang Chen, He Shao-Bo, Li Zhi-Jun.A novel compound exponential locally active memristor coupled Hopfield neural network. Acta Physica Sinica, 2024, 73(13): 130501.doi:10.7498/aps.73.20231888 |
| [4] |
Guo Hui-Meng, Liang Yan, Dong Yu-Jiao, Wang Guang-Yi.Simplification of Chua corsage memristor and hardware implementation of its neuron circuit. Acta Physica Sinica, 2023, 72(7): 070501.doi:10.7498/aps.72.20222013 |
| [5] |
Huang Ying, Gu Chang-Gui, Yang Hui-Jie.Junk-neuron-deletion strategy for hyperparameter optimization of neural networks. Acta Physica Sinica, 2022, 71(16): 160501.doi:10.7498/aps.71.20220436 |
| [6] |
Ding Da-Wei, Lu Xiao-Qi, Hu Yong-Bing, Yang Zong-Li, Wang Wei, Zhang Hong-Wei.Multistability of fractional-order memristor-coupled heterogeneous neurons and its hardware realization. Acta Physica Sinica, 2022, 71(23): 230501.doi:10.7498/aps.71.20221525 |
| [7] |
Wu Chang-Chun, Zhou Pu-Jun, Wang Jun-Jie, Li Guo, Hu Shao-Gang, Yu Qi, Liu Yang.Memristor based spiking neural network accelerator architecture. Acta Physica Sinica, 2022, 71(14): 148401.doi:10.7498/aps.71.20220098 |
| [8] |
Zhu Jia-Xue, Zhang Xu-Meng, Wang Rui, Liu Qi.Flexible memristive spiking neuron for neuromorphic sensing and computing. Acta Physica Sinica, 2022, 71(14): 148503.doi:10.7498/aps.71.20212323 |
| [9] |
Wen Xin-Yu, Wang Ya-Sai, He Yu-Hui, Miao Xiang-Shui.Memristive brain-like computing. Acta Physica Sinica, 2022, 71(14): 140501.doi:10.7498/aps.71.20220666 |
| [10] |
Wang Shi-Chang, Lu Zhen-Zhou, Liang Yan, Wang Guang-Yi.Neuromorphic behaviors of N-type locally-active memristor. Acta Physica Sinica, 2022, 71(5): 050502.doi:10.7498/aps.71.20212017 |
| [11] |
Bai Jing, Guan Fu-Rong, Tang Guo-Ning.Various effects induced by local synchronization in neural networks. Acta Physica Sinica, 2021, 70(17): 170502.doi:10.7498/aps.70.20210142 |
| [12] |
Huang Zhi-Jing, Li Qian-Yun, Bai Jing, Tang Guo-Ning.Entropy measurement of ordered patterns in neuronal network with repulsive coupling. Acta Physica Sinica, 2019, 68(11): 110503.doi:10.7498/aps.68.20190231 |
| [13] |
Wang Peng, Li Qian-Yun, Huang Zhi-Jing, Tang Guo-Ning.Spontaneous formation of ordered waves in chaotic neuronal network with excitory-inhibitory connections. Acta Physica Sinica, 2018, 67(17): 170501.doi:10.7498/aps.67.20180506 |
| [14] |
Liu Yu-Dong, Wang Lian-Ming.Application of memristor-based spiking neural network in image edge extraction. Acta Physica Sinica, 2014, 63(8): 080503.doi:10.7498/aps.63.080503 |
| [15] |
Li Zhi-Jun, Zeng Yi-Cheng, Li Zhi-Bin.Memristive chaotic circuit based on modified SC-CNNs. Acta Physica Sinica, 2014, 63(1): 010502.doi:10.7498/aps.63.010502 |
| [16] |
Li Chun-Guang, Chen Jun.Chaos in a neuron model with adaptive feedback synapse: Electronic circuit design. Acta Physica Sinica, 2011, 60(5): 050503.doi:10.7498/aps.60.050503 |
| [17] |
Wang Rui-Min, Zhao Hong.The role of neuron transfer function in artificial neural networks. Acta Physica Sinica, 2007, 56(2): 730-739.doi:10.7498/aps.56.730 |
| [18] |
HE GUO-GUANG, CAO ZHI-TONG.CONTROLLING CHAOS IN CHAOTIC NEURAL NETWORK. Acta Physica Sinica, 2001, 50(11): 2103-2107.doi:10.7498/aps.50.2103 |
| [19] |
Yu Li-juan, Zhu Chang-chun.Neural Networks Models on Threshold Electric Field of Field Emission. Acta Physica Sinica, 2000, 49(1): 170-173.doi:10.7498/aps.49.170 |
| [20] |
CHANG SHENG-JIANG, LIU YUE, ZHANG WEN-WEI, SHEN JIN-YUAN, ZHAI HONG-CHEN, ZHANG YAN-XIN.A NEURAL NETWORK MODEL FOR UNEQUALLY DISTRIBUTED NEURON STATES AND ITS OPTICAL IMPLEMENTATION. Acta Physica Sinica, 1998, 47(7): 1101-1109.doi:10.7498/aps.47.1101 |