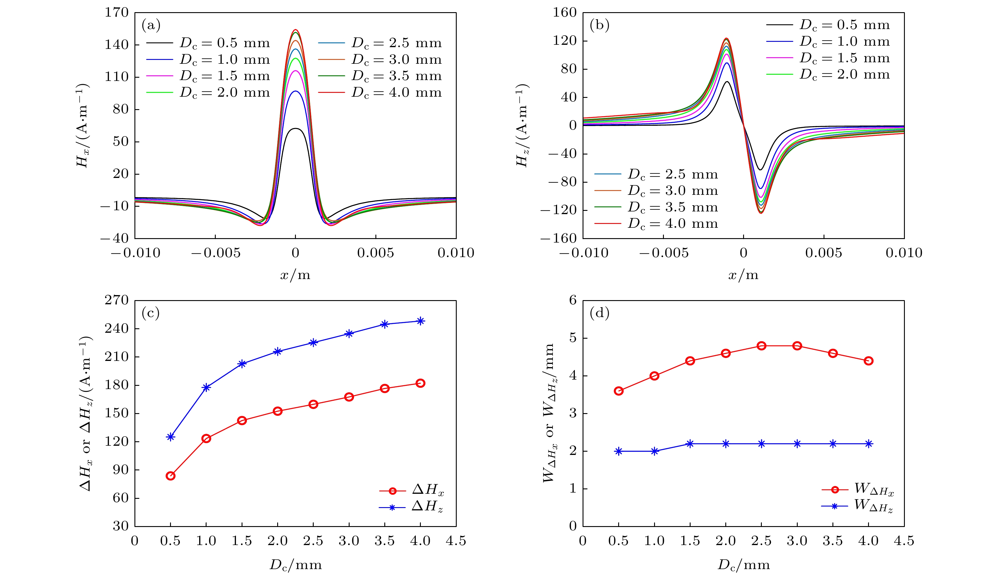
The magnetic dipole theory has been widely and successfully used to qualitatively analyze the testing signals of metal magnetic memory (MMM) testing. However, the magnetic charge density of the existing models is always an assumed value distributed uniformly or linearly along the defect section or in a stress concentration area, as a result the existing models are unsuitable for quantitatively analyzing the metal magnetic memory signal. In this work, a new forward model of MMM testing is established by considering the influence of uneven stress on magnetic charge density distribution, discretizing the specimen into numbers of micro elements firstly, assuming that the magnetic characteristic parameters of each element are evenly distributed and the magnetic charge density changes with stress in each element which can be determined by combining the modified magneto-mechanical model and the classical theory of magnetic charges. Compared with the experimental results of hole defect and crack defect specimen, the theoretical results calculated by the proposed model prove to be in good agreement with the testing results both qualitatively and quantitatively. Consequently, the proposed model is a new theoretical and quantitative model for analyzing the experimental change rule of metal magnetic memory testing. Then, the effects of stress concentration and macroscopic defects on the distribution of magnetic field are analyzed, showing that when there is only a stress concentration in the specimen, the horizontal component is negative valley, and the normal component changes from negative to positive valley peak in the stress concentration area; when there is a crack defect in the specimen, the distribution of magnetic field is just opposite to that when there is only a stress concentration. The distribution characteristics of the magnetic field can be used to judge the damage type in the specimen. Moreover, taking crack defect for example, the horizontal and normal component of magnetic field and their characteristic parameters changing with the size parameters of crack defect, such as width, length, depth and buried depth of crack defect, are analyzed in detail. The results show that the
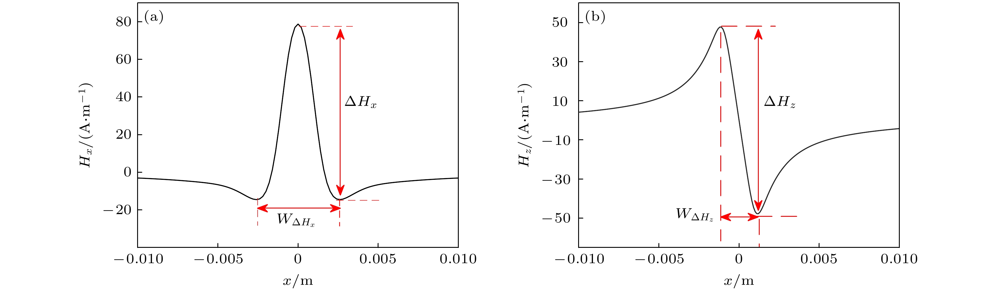
${W_{\Delta {H_x}}}$
and
${W_{\Delta {H_z}}}$
increase lineally with the increase of the width of crack,
$\Delta {H_x}$
and
$\Delta {H_z}$
increase with the increase of the length and depth of crack, but gradually decrease with the increase of defect buried depth.