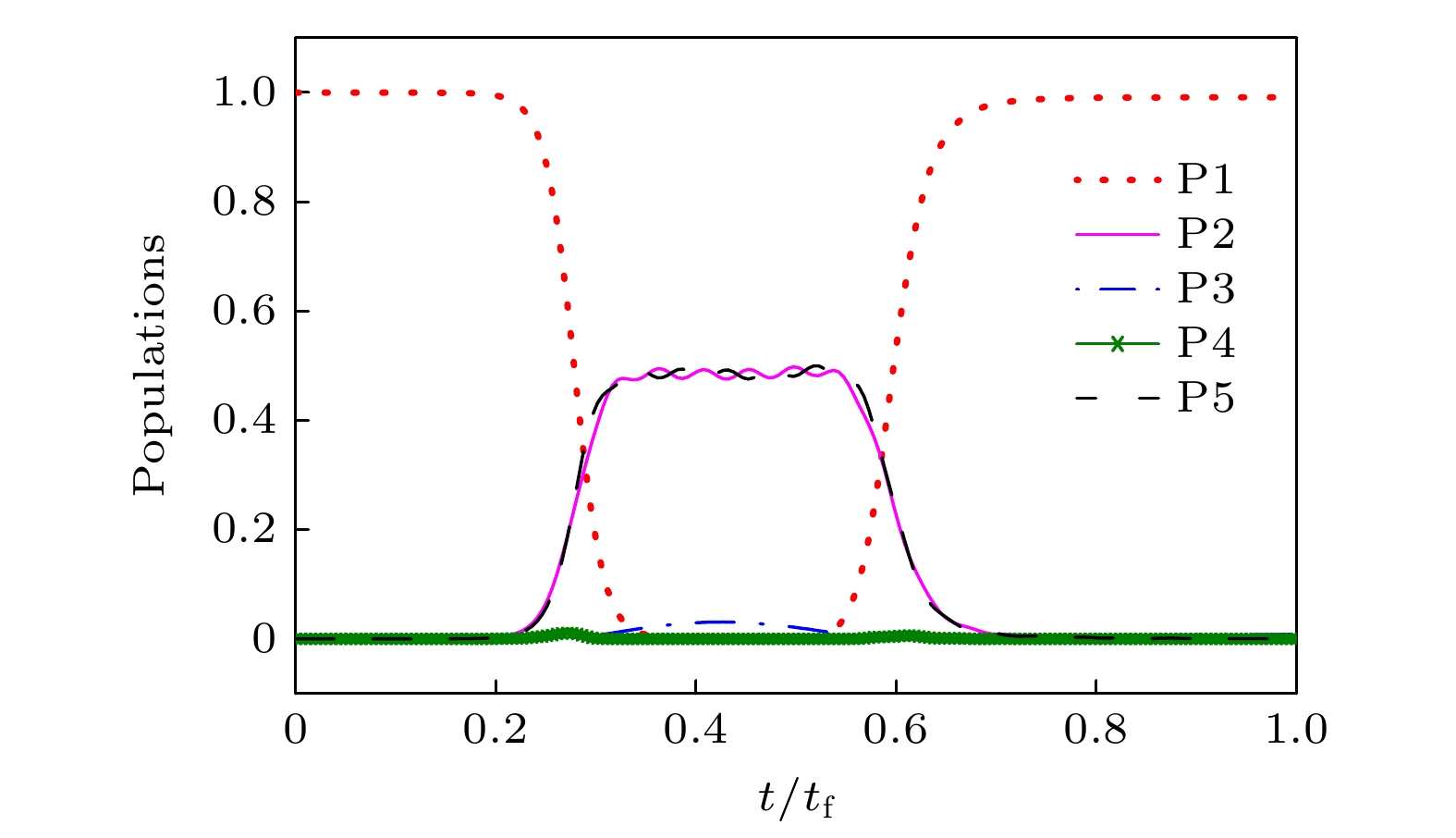
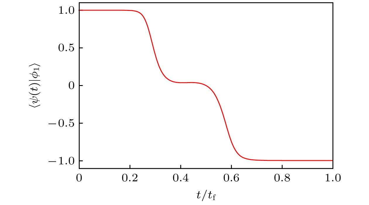
With high speed and big storage power, quantum computer has received increasing attention. The operation on the quantum computer can be composed of several single-bit and multi-bit quantum logic gates, among which the controlled phase gate is one of the essential two-qubit logic gates. Usually, the quantum gate is realized in a real physical system, and the circuit quantum electrodynamics system (QED) has become a promising candidate due to its long coherent time, easily coupled with other physical system and scaled up to large scale. In this work, we propose a scheme to fast implement a two-qubit controlled phase gate based on the circuit QED by using the superadiabatic-based shortcut, in order to solve the problem that the adiabatic algorithm needs a long time in the process of system evolution. Here, a coding strategy is first designed for the circuit QED system and the two transmon qubits, and the effective Hamiltonian of the system is then presented by dividing different initial states in the rotating-wave approximation. By using the superadiabatic-based shortcut algorithm for two iterations, a correction term in the same form as the system effective Hamiltonian is obtained through anti-diabatic driving, so that the effective Hamiltonian can suppress unwanted transitions between different instantaneous eigenstates. According to the evolution path, the appropriate boundary conditions are also obtained to complete the preparation of the controlled phase gate. The numerical simulation results show the availability of the proposed scheme, that is, the
$ - \left| {11} \right\rangle $
state can be obtained by system evolution when the initial state is
$ \left| {11} \right\rangle $
, while the system does not change at all when the other initial states are prepared. Furthermore, the controlled phase gate with high-fidelity can be obtained . It is shown that the fidelity of the controlled phase gate is stable and greater than 0.991 when the evolution time is greater than
$0.7{t \mathord{\left/ {\vphantom {t {{t_f}}}} \right. } {{t_{\rm f}}}}$
. In addition, the proposed scheme can accelerate the evolution and is robust to decoherence. By the resonator decay and the spontaneous emission and dephasing of qubit, the final fidelity of the controlled phase gate is greater than 0.984. Since the controlled phase gate does not need additional parameters, the propsoed scheme is feasible in experiment.