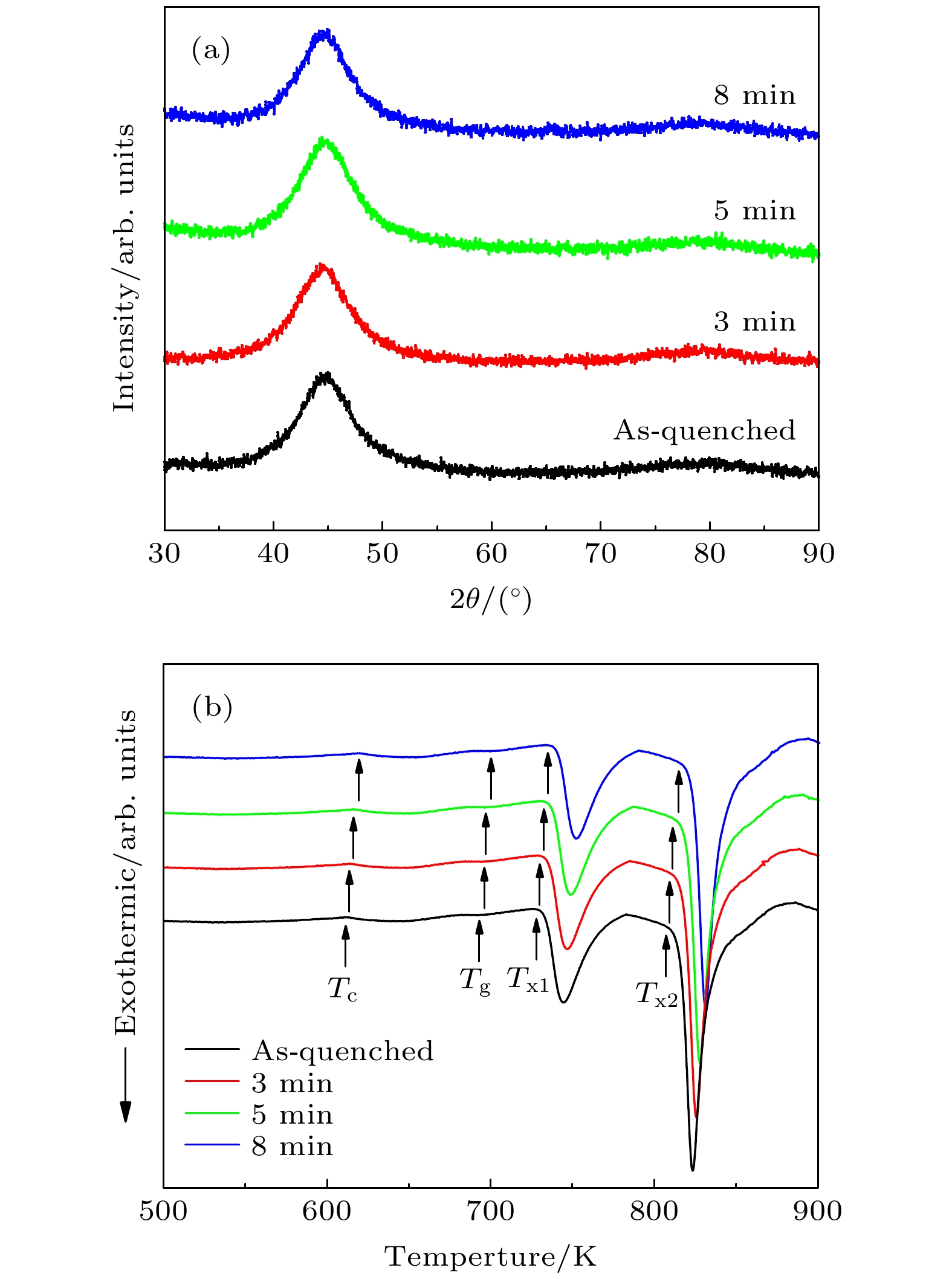
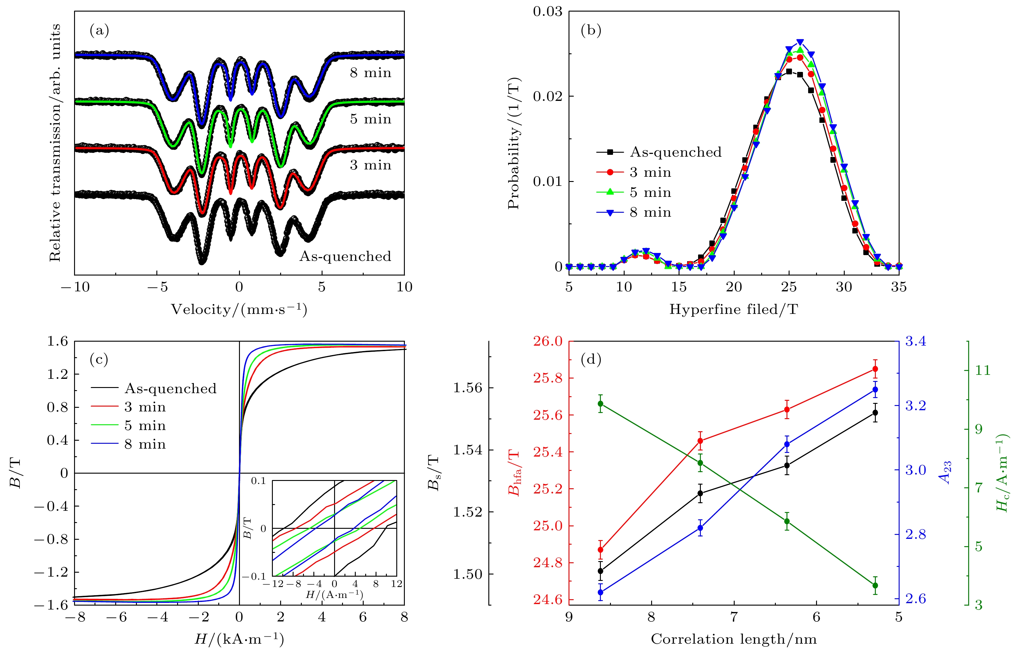
| [1] |
Zhang Jian, Hao Qi, Zhang Lang-Ting, Qiao Ji-Chao.Probing microstructural heterogeneity of La-based amorphous alloy under versatile mechanical stimuli. Acta Physica Sinica, 2024, 73(4): 046101.doi:10.7498/aps.73.20231421 |
| [2] |
Zhou Bian, Yang Liang.Molecular dynamics simulation of effect of cooling rate on the microstructures and deformation behaviors in metallic glasses. Acta Physica Sinica, 2020, 69(11): 116101.doi:10.7498/aps.69.20191781 |
| [3] |
Sun Yi-Tao, Wang Chao, Lü Yu-Miao, Hu Yuan-Chao, Luo Peng, Liu Ming, Xian Hai-Jie, Zhao De-Qian, Ding Da-Wei, Sun Bao-An, Pan Ming-Xiang, Wen Ping, Bai Hai-Yang, Liu Yan-Hui, Wang Wei-Hua.Recent progress of the glassy materials and physics. Acta Physica Sinica, 2018, 67(12): 126101.doi:10.7498/aps.67.20180681 |
| [4] |
Sun Xing, Mo Guang, Zhao Lin-Zhi, Dai Lan-Hong, Wu Zhong-Hua, Jiang Min-Qiang.Characterization of nanoscale structural heterogeneity in an amorphous alloy by synchrotron small angle X-ray scattering. Acta Physica Sinica, 2017, 66(17): 176109.doi:10.7498/aps.66.176109 |
| [5] |
Feng Tao, Horst Hahn, Herbert Gleiter.Progress of nanostructured metallic glasses. Acta Physica Sinica, 2017, 66(17): 176110.doi:10.7498/aps.66.176110 |
| [6] |
Cao Cheng-Cheng, Fan Jue-Wen, Zhu Li, Meng Yang, Wang Yin-Gang.Effects of relaxation time on local structural and magnetic properties of Fe80.8B10P8Cu1.2 amorphous alloy. Acta Physica Sinica, 2017, 66(16): 167501.doi:10.7498/aps.66.167501 |
| [7] |
Bai Jing, Wang Xiao-Shu, Zu Qi-Rui, Zhao Xiang, Zuo Liang.Defect stabilities and magnetic properties of Ni-X-In (X= Mn, Fe and Co) alloys: a first-principle study. Acta Physica Sinica, 2016, 65(9): 096103.doi:10.7498/aps.65.096103 |
| [8] |
Hou Yu-Hua, Huang You-Lin, Liu Zhong-Wu, Zeng De-Chang.Theoretical study on the influence of rare earth doping on the electronic structure and magnetic properties of cobalt ferrite. Acta Physica Sinica, 2015, 64(3): 037501.doi:10.7498/aps.64.037501 |
| [9] |
Cao Yong-Ze, Li Guo-Jian, Wang Qiang, Ma Yong-Hui, Wang Hui-Min, He Ji-Cheng.Effects of high magnetic field on the microstructure and magnetic properties of Fe80Ni20 thin films with different thickness values. Acta Physica Sinica, 2013, 62(22): 227501.doi:10.7498/aps.62.227501 |
| [10] |
Huang You-Lin, Hou Yu-Hua, Zhao Yu-Jun, Liu Zhong-Wu, Zeng De-Chang, Ma Sheng-Can.Influences of strain on electronic structure and magnetic properties of CoFe2O4 from first-principles study. Acta Physica Sinica, 2013, 62(16): 167502.doi:10.7498/aps.62.167502 |
| [11] |
Li Kai, Tang Yong-Jian, Luo Jiang-Shan, Yi Yong, Ding Zhi-Jie.First-principles calculations of electronic structure and magnetism of Ni4NdB. Acta Physica Sinica, 2011, 60(9): 097503.doi:10.7498/aps.60.097503 |
| [12] |
Yi Yong, Li Kai, Ding Zhi-Jie, Yi Zao, Luo Jiang-Shan, Tang Yong-Jian.Study of Ni4PrB electronic structure and magnetism. Acta Physica Sinica, 2011, 60(10): 107502.doi:10.7498/aps.60.107502 |
| [13] |
Hu Yu-Ping, Ping Kai-Bin, Yan Zhi-Jie, Yang Wen, Gong Chang-Wei.First-principles calculations of structure and magnetic properties of -Fe(Si)phase precipitated in the Finemet alloy. Acta Physica Sinica, 2011, 60(10): 107504.doi:10.7498/aps.60.107504 |
| [14] |
Xiang Jun, Song Fu-Zhan, Shen Xiang-Qian, Chu Yan-Qiu.Preparation of one-dimensional Ni0.5Zn0.5Fe2O4/SiO2 composite nanostructures and their magnetic properties. Acta Physica Sinica, 2010, 59(7): 4794-4801.doi:10.7498/aps.59.4794 |
| [15] |
Liu Tao, Guo Zhao-Hui, Li Xiu-Mei, Li Wei.Effect of microstructure on the magnetic properties of Pt-Co permanent magnetic alloy. Acta Physica Sinica, 2009, 58(3): 2030-2034.doi:10.7498/aps.58.2030 |
| [16] |
Li Xiu-Mei, Liu Tao, Guo Zhao-Hui, Zhu Ming-Gang, Li Wei.Effects of rare earth content on microstructure and magnetic properties of (Nd,Dy)-(Fe,Al)-B alloys. Acta Physica Sinica, 2008, 57(6): 3823-3827.doi:10.7498/aps.57.3823 |
| [17] |
Li Jian, Song Gong-Bao, Wang Mei-Li, Zhang Bao-Shu.Study on phase relations, crystal structure and magnetic properties of Ti1-xCrxO2±δ system. Acta Physica Sinica, 2007, 56(6): 3379-3387.doi:10.7498/aps.56.3379 |
| [18] |
Cheng Wei-Dong, Sun Min-Hua, Li Jia-Yun, Wang Ai-Ping, Sun Yong-Li, Liu Fang, Liu Xiong-Jun.Small angle X-ray scattering research of the relaxation and crystallization process in Cu60Zr30Ti10 amorphous alloy. Acta Physica Sinica, 2006, 55(12): 6673-6676.doi:10.7498/aps.55.6673 |
| [19] |
Liu Yi, Wu Zi-Fang, Liu Lin, Zhang Tao.Study on structure relaxation of Zr5555Cu3030Al10 10Ni55bulk amorphous alloy. Acta Physica Sinica, 2005, 54(4): 1679-1682.doi:10.7498/aps.54.1679 |
| [20] |
Liu Yi, Liu Lin, Wang Jun, Zhao Hui, Rong Li-Xia, Dong Bao-Zhong.In-situ study on structural relaxation of Zr55Cu30Al1 0Ni5bulk amorphous alloy by SAXS. Acta Physica Sinica, 2003, 52(9): 2219-2222.doi:10.7498/aps.52.2219 |