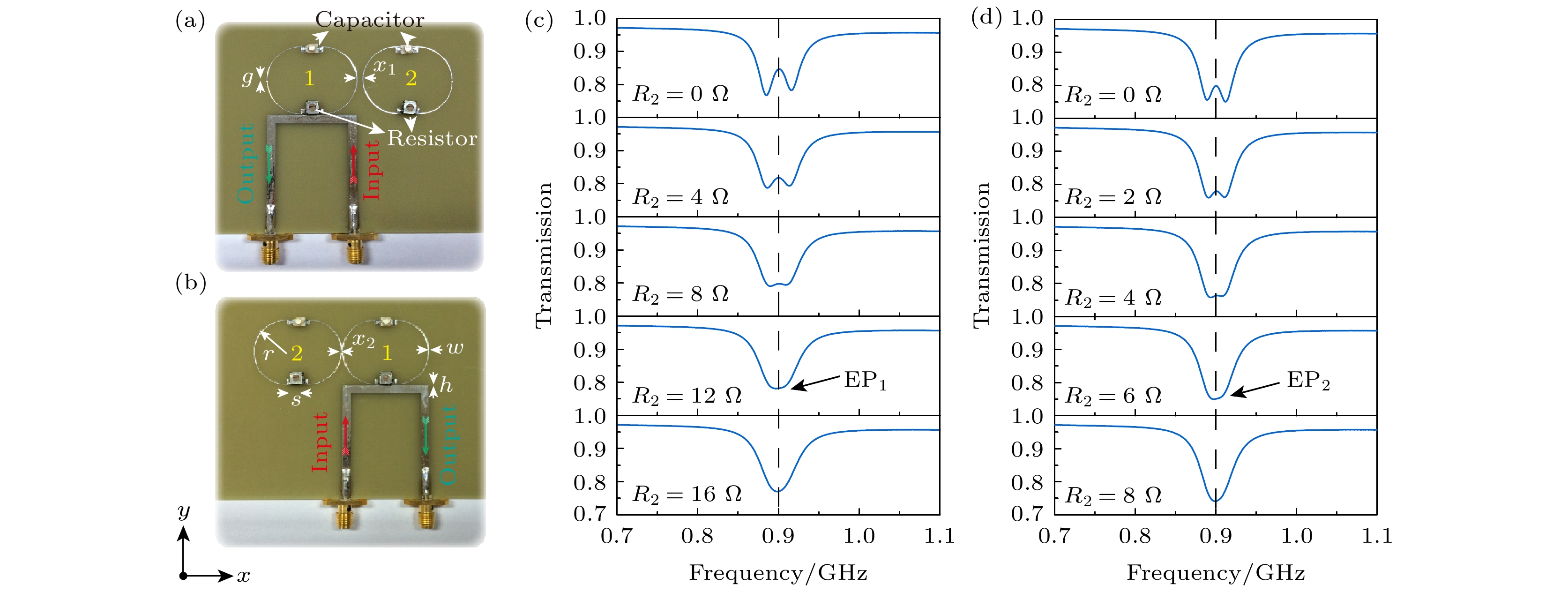
Based on the quantum mechanics, the physical observables are represented by Hermitian linear operators. Derived from the conservation of energy, these Hermitian operators exhibit real eigenvalues. However, when a closed system described by an effective Hamiltonian is coupled with the surrounding environment, the dynamics of the system itself becomes non-Hermitian dynamic. In general, the eigenvalues of an open optical non-Hermitian system are complex. Parity-time symmetric structure is the system composed of complex potentials, which is neither parity symmetric nor time reversal symmetric alone but is symmetric after operations of parity inversion and time reversal have been combined. The eigenvalue of the parity-time symmetric Hamiltonian can be found to be real, despite the non-Hermitian nature of the system. One of the most attractive properties of non-Hermitian system is the exceptional point, which is degenerate at which two or more eigenvalues and eigenstates of a non-Hermitian physical system coalesce. The unique topological features of EPs, forming a self-intersecting Riemann surface, have given rise to several exotic physical properties. As a kind of phase singularity in a physical system, exceptional point of non-Hermitian system gives rise to a plethora of counterintuitive phenomenon, such as the loss-induced transmission enhancement, unidirectional reflection and asymmetric state transfer. Especially, the eigenvectors of exceptional point are self-orthogonal and an inherent chirality can be determined because of the missing dimension. Chirality lies at the heart of the most fascinating and fundamental phenomena in modern physics, and how to impose a strong chirality and a switchable direction of light propagation in an optical system by steering it to an exceptional point is an interesting research topic. In this work, a non-Hermitian system is constructed based on the special metamaterial resonator of split-ring resonator, in which the sign of coupling coefficient can be flexibly controlled. Especially, the chiral inversion at an exceptional point of non-Hermitian system is observed experimentally. This sign of coupling coefficient controlled exceptional point not only paves a new way for studying the fundamental non-Hermitian physics in an open system, but also holds great potential in the applied photonic devices such as the efficient chiral mode converter and chiral antennas.