During the re-entry process of the aircraft, a layer of plasma sheath wrapping its surface will be generated, which will lead the communication quality to deteriorate and even interrupt, resulting in the phenomenon of “radio blackout”. The “radio blackout” problem has plagued the aerospace industry for many years. One of the very important reasons is the lack of awareness of the communication transmission environment caused by the limitations of plasma sheath measurements. Therefore, the realization of in-situ measurement of sheath parameters is the key to the research of the “radio blackout” problem of hypersonic vehicles.
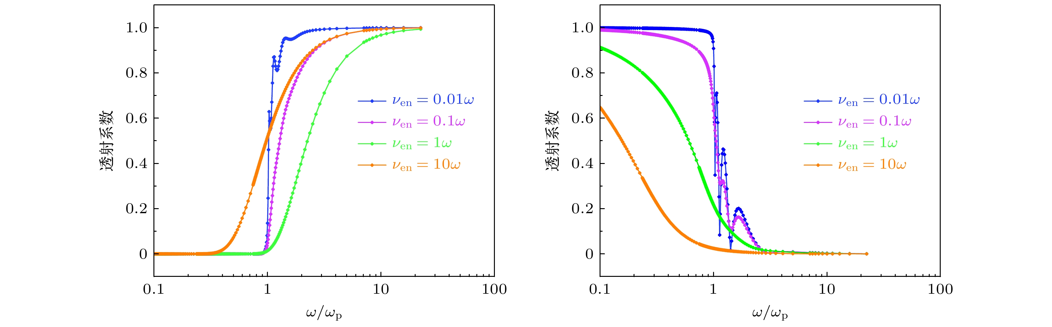
In this work, a broadband microwave reflection method is presented and developed for diagnosing the reentry plasma sheath .The relationship between broadband microwave reflection data and plasma parameters is derived theoretically, and effective diagnostic frequency points are selected. Then, the plasma parameters are obtained by inversely using the reflection data of the selected effective frequency points to realize the simultaneous diagnosis and measurement of electron density and collision frequency.
This method makes up for the deficiency that the traditional reflectometer cannot diagnose high collision frequency plasma, and it can diagnose the parameter of the plasma sheath of the hypersonic vehicle in a complex environment.
A simulation model and an experimental platform are established, and the simulation analysis and ground experiment are carried out to verify the method. The electron density of the plasma is diagnosed by transmission diagnostics to provide a control for reflection experiments. The experimental results show that the difference between the two diagnostic results is small, which verifies the effectiveness of the method.
The method can realize the real-time diagnosis of plasma sheaths of re-entry vehicles or hypersonic vehicles under various flight conditions, and accumulate a large number of first-hand measurement data, which is of great scientific value in recognizing the characteristics of plasma sheaths comprehensively, objectively and accurately. It can also be used for the parameter input link of the adaptive measurement and control system environment. In addition, this method can also be used for real-time measurement of environment parameters of ground plasma jet and real-time monitoring of changes of plasma jet parameters without changing the jet shape.