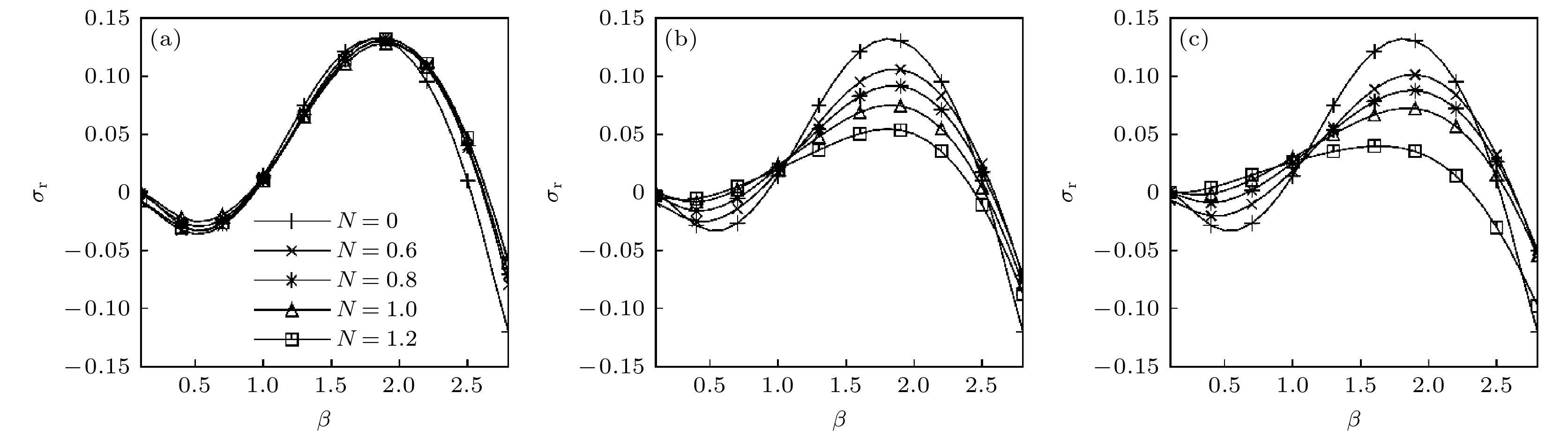
The flow around a cylinder is a typical flow acting as the oscillator, and the perturbations can grow with time at a fixed position. This phenomenon can induce the laminar-turbulent transition in the wake, thus increasing the vibrations of the cylinder as well as the noise in the flow system. There exist three control strategies, i.e. the streamwise Lorentz force from the electromagnetic actuator set on the windward surface named windward control, the leeward surface named leeward control, and the whole surface of cylinder named global control, which are adopted to modify the two-dimensional base flow, thereby reducing the growth rates of perturbations in the wake and changing the transition mode. According to the Floquet stability analysis, it is found that the growth rates of the transition modes A and B present small changes in the windward control, while the growth rates of the two modes decrease with the increase of the control number in the other two control cases. Comparing the inviscid growth rates induced by the elliptic instability and the hyperbolic instability with each other, it is observed that the high inviscid growth rate in the windward control can be similar to those without control, while the inviscid growth rates can decrease with the increase of control number in the other two control cases. Three-dimensional direct numerical simulations are performed to validate the control effects. The results shows that the three-dimensional shape of the wake is changed from mode B to mode A when the actuator is set on the leeward surface or the whole surface of the cylinder. This is consistent with the result from the Floquet stability analysis. In addition, the drag of the cylinder reduces 15.2% for the leeward control and 14.4% for the the global control.