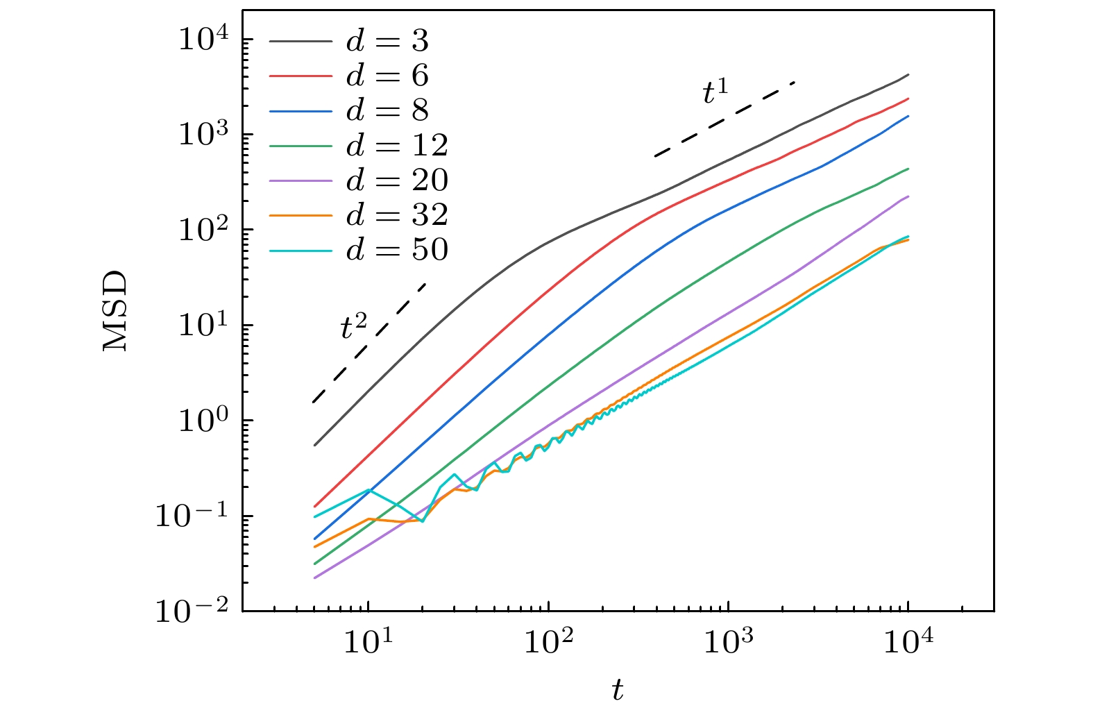
\begin{document}$ d\gg 2{R}_{\rm{g}0} $\end{document} (\begin{document}$ {R}_{\rm{g}0} $\end{document} is the radius of gyration of the passive flexible chain in the random coil state), the polymer chain can stay for a long time in either the active region or the passive region and moves mainly by slow Brownian diffusion; when \begin{document}$ 2{R}_{\rm{L}} < d < 2{R}_{\rm{g}0} $\end{document} (\begin{document}$ {R}_{\rm{L}} $\end{document} is the radius of the spiral formed by the self-propelled polymer chain), the polymer chain could stay entirely in one region but cross-regional motion happens frequently; when \begin{document}$ d < 2{R}_{\rm{L}} $\end{document}, the polymer chain does not stay entirely in one region but keeps moving cross-regionally accompanied by the stretching of the parts in active regions. With the kinetic behavior of the polymer chain changing as d varies, the long-time diffusive coefficient changes by as great as two orders of magnitude and other statistical quantities such as spatial density distribution, mean total propelling force, characteristic size and orientation all show non-monotonic variations. In addition, we find four typical processes of the cross-regional motion of a flexible chain. For a semiflexible polymer chain, the cross-regional motion is accompanied by buckling behavior and the width d affects greatly the degree of buckling and the continuity of the motion. Our work suggests a new idea for tuning and controlling the dynamic behavior of active polymers and provides a reference for the design and the potential applications of chain-like active materials."> - 必威体育下载

Search

Article

x

留言板

姓名
邮箱
手机号码
标题
留言内容
验证码

downloadPDF
Citation:

    Gao Yi-Wen, Wang Ying, Tian Wen-De, Chen Kang
    PDF
    HTML
    Get Citation
    Metrics
    • Abstract views:2954
    • PDF Downloads:62
    • Cited By:0
    Publishing process
    • Received Date:09 July 2022
    • Accepted Date:30 July 2022
    • Available Online:12 December 2022
    • Published Online:24 December 2022

      返回文章
      返回
        Baidu
        map