As a wide band gap semiconductor with perovskite structure, SnSnO
3is regarded as a promising candidate of transparent conductive oxides due to its superior properties like high transparency, non-toxicity and low price. In this work, the electronic structure of SrSnO
3is obtained through first-principles calculations based on HSE06 hybrid functional. Especially, we investigate the defect formation energy and transition levels of the intrinsic and external defects in SrSnO
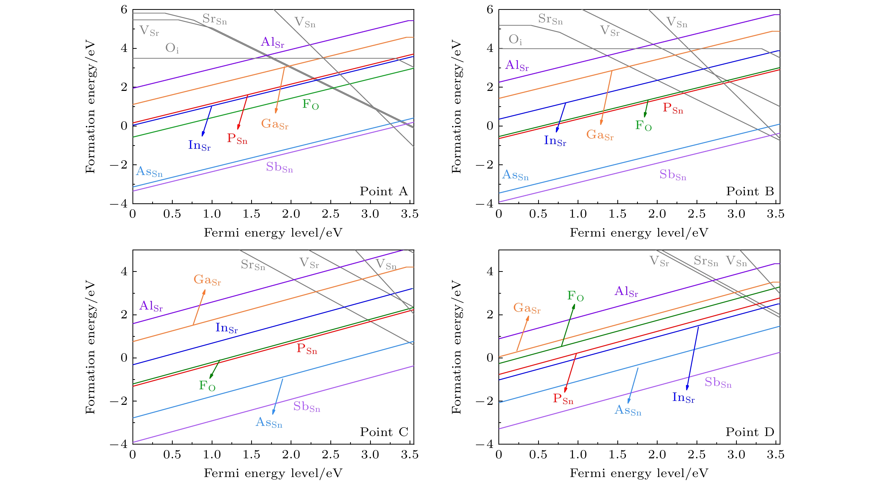
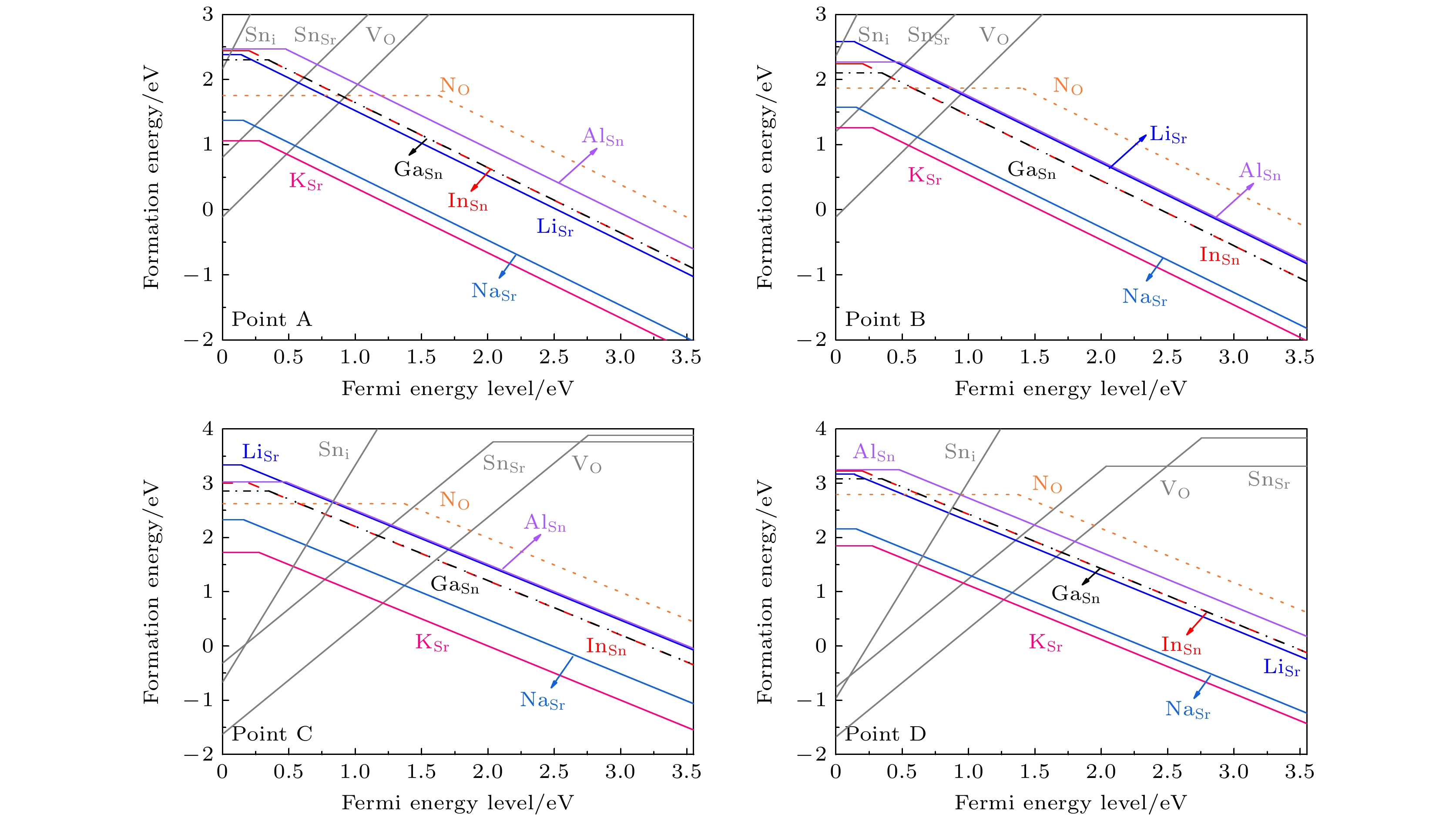
3. The intrinsic defects including the anti-site defects (Sr
Snand Sn
Sr), the vacancy defects (V
Sr, V
Sn, and V
O), and the interstitial defects (Sr
i, Sn
iand O
i) are considered while the external doping defects are taken into account, including the substitution of Li, Na, K, Al, Ga, In for Sr site, Al, Ga, In, P, As, Sb for Sn site, and N, P at O site. Subsequently, the suitable doping elements and the corresponding experimental preparation environments are pointed out. Furthermore, we discuss the mechanism of its conductance according to the energy positions of the band edges. Our calculation results demonstrate that SrSnO
3is an indirect-type semiconductor with a fundamental band gap of 3.55 eV and an optical band gap of 4.10 eV and then has a good visible light transmittance. Its valence band maximum (VBM) comes from O-2p state while its conduction band minimum (CBM) mainly originates from Sn-5s state. In consistent with the delocalized Sn-5s state at CBM, the electron effective mass is light and isotropic, which is beneficial to n-type conductance. The n-type intrinsic defects Sn
Srand V
ohave lower defect formation energy than the p-type intrinsic defects under O-poor condition while the n-type and p-type defects with low defect formation energy are almost equal under O-rich condition. Moreover, the transition levels of Sn
Srand V
Oare both deep. Therefore, SrSnO
3cannot have a good conductance without external doping. Our calculations also demonstrate that it is hard to produce an efficient p-type external doping due to the compensation effect by V
O. On the other hand, substitution of As or Sb for Sn site can result in an effective n-type external doping due to their low defect formation energy and shallow transition levels. According to the low energy positions of VBM (–7.5 eV) and CBM (–4.0 eV) of SrSnO
3, we explain the reason why it is easy to realize an n-type conductance but hard to produce a high-performance p-type conductance, which follows the doping rules for wide band gap semiconductors. Finally, Sb-doped SrSnO
3is proposed as a promising candidate for n-type transparent conductive materials.