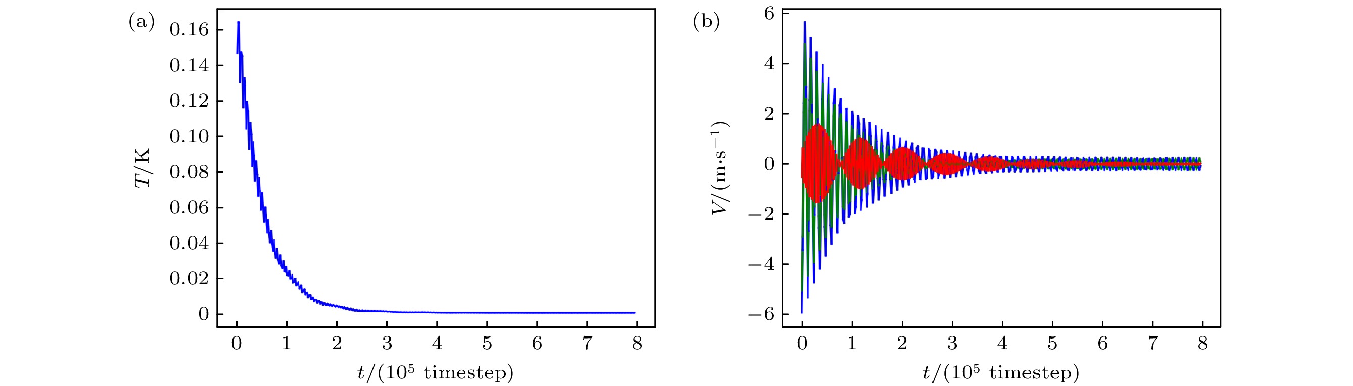
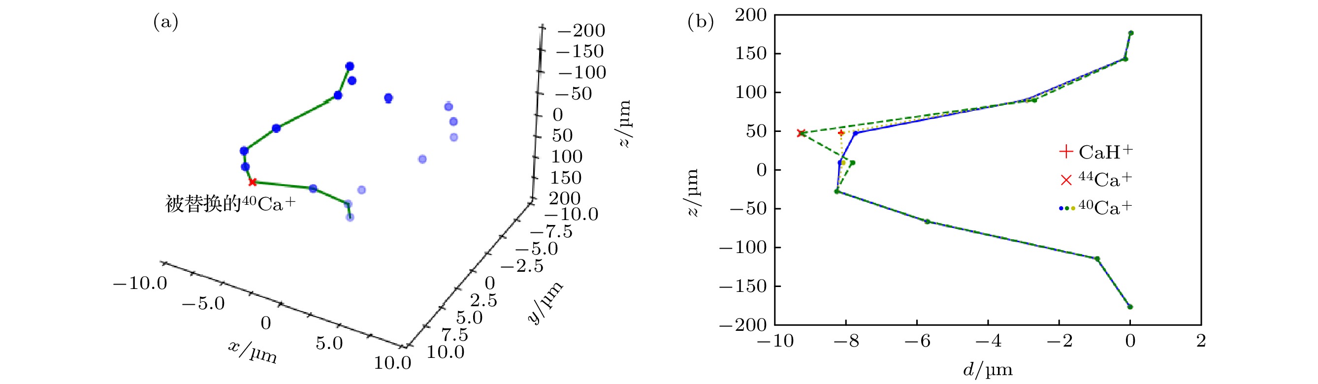
| [1] |
Xing Ren-Fang, Chen Ming, Li Rui-Yu, Li Shu-Qian, Zhang Rui, Hu Xiao-Chuan.Effect of Alternating Electric Field Induced by Cold Atmospheric Plasma on the Conformation and Function of Interleukin-6. Acta Physica Sinica, 2024, 0(0): .doi:10.7498/aps.73.20240927 |
| [2] |
Yuan Yong-Kai, Chen Qian, Gao Ting-Hong, Liang Yong-Chao, Xie Quan, Tian Ze-An, Zheng Quan, Lu Fei.Molecular dynamics simulations of GaAs crystal growth under different strains. Acta Physica Sinica, 2023, 72(13): 136801.doi:10.7498/aps.72.20221860 |
| [3] |
An Min-Rong, Li Si-Lan, Su Meng-Jia, Deng Qiong, Song Hai-Yang.Molecular dynamics simulation of size dependent plastic deformation mechanism of CoCrFeNiMn crystalline/amorphous dual-phase high-entropy alloys. Acta Physica Sinica, 2022, 71(24): 243101.doi:10.7498/aps.71.20221368 |
| [4] |
Yang Ya-Fan, Wang Jian-Zhou, Shang Xiang-Yu, Wang Tao, Sun Shu-Yu.Molecular dynamics simulation of swelling properties of Ca-montmorillonite at high temperatures. Acta Physica Sinica, 2022, 71(4): 043102.doi:10.7498/aps.71.20211565 |
| [5] |
Xin Yong, Bao Hong-Wei, Sun Zhi-Peng, Zhang Ji-Bin, Liu Shi-Chao, Guo Zi-Xuan, Wang Hao-Yu, Ma Fei, Li Yuan-Ming.Effects of Th doping on mechanical properties of U1–xThxO2: An atomistic simulation. Acta Physica Sinica, 2021, 70(12): 122801.doi:10.7498/aps.70.20202239 |
| [6] |
Li Xing-Xin, Li Si-Ping.Manipulations on mechanical properties of multilayer folded graphene by annealing temperature: a molecular dynamics simulation study. Acta Physica Sinica, 2020, 69(19): 196102.doi:10.7498/aps.69.20200836 |
| [7] |
Geng Jun-Xian, Li Shao-Qiang, Wang Shi-Qi, Huang Chun, Lü Yun-Jie, Hu Rui, Qu Jun-Le, Liu Li-Wei.Stimulating Ca2+photoactivation of nerve cells by near-infrared light. Acta Physica Sinica, 2020, 69(15): 158701.doi:10.7498/aps.69.20200489 |
| [8] |
Guan Hua, Huang Yao, Li Cheng-Bin, Gao Ke-Lin.40Ca+ optical frequency standards with high accuracy. Acta Physica Sinica, 2018, 67(16): 164202.doi:10.7498/aps.67.20180876 |
| [9] |
Wang Qi-Dong, Peng Zeng-Hui, Liu Yong-Gang, Yao Li-Shuang, Ren Gan, Xuan Li.Rotational viscosity comparison of liquid crystals based on the molecular dynamics of mixtures. Acta Physica Sinica, 2015, 64(12): 126102.doi:10.7498/aps.64.126102 |
| [10] |
Qin Ye-Hong, Tang Chao, Zhang Chun-Xiao, Meng Li-Jun, Zhong Jian-Xin.Molecular dynamics study of ripples in graphene monolayer on silicon surface. Acta Physica Sinica, 2015, 64(1): 016804.doi:10.7498/aps.64.016804 |
| [11] |
Zhang Chong-Long, Kong Wei, Yang Fang, Liu Song-Fen, Hu Bei-Lai.Dynamical and structural properties of two-dimensional dusty plasma with modified screened coulomb potential. Acta Physica Sinica, 2013, 62(9): 095201.doi:10.7498/aps.62.095201 |
| [12] |
Wang Jun, Zhang Bao-Ling, Zhou Yu-Lu, Hou Qing.Molecular dynamics simulation of helium behavior in tungsten matrix. Acta Physica Sinica, 2011, 60(10): 106601.doi:10.7498/aps.60.106601 |
| [13] |
Quan Wei-Long, Li Hong-Xuan, Ji Li, Zhao Fei, Du Wen, Zhou Hui-Di, Chen Jian-Min.Molecular dynamical simulation on the mechanical property of hydrogenated diamond-like carbon films. Acta Physica Sinica, 2010, 59(8): 5687-5691.doi:10.7498/aps.59.5687 |
| [14] |
Chen Yu-Xiang, Xie Guo-Feng, Ma Ying, Zhou Yi-Chun.Molecular-dynamics simulation of the structure and elastic constants of barium titanium. Acta Physica Sinica, 2009, 58(6): 4085-4089.doi:10.7498/aps.58.4085 |
| [15] |
Kai Hua, Li Yun-Chao, Guo De-Cheng, Li Shuang, Li Zhi-Jie.Molecular dynamics simulation of the structure characteristic of diamond-like carbon films influence by oblique incidence ion-beam-assisted deposition. Acta Physica Sinica, 2009, 58(7): 4888-4894.doi:10.7498/aps.58.4888 |
| [16] |
Xie Fang, Zhu Ya-Bo, Zhang Zhao-Hui, Zhang Lin.Molecular dynamics simulation of multi-wall carbon nanotube oscillators. Acta Physica Sinica, 2008, 57(9): 5833-5837.doi:10.7498/aps.57.5833 |
| [17] |
Li Rui, Hu Yuan-Zhong, Wang Hui, Zhang Yu-Jun.Molecular dynamics simulation of motion of single-walled carbon nanotubes on graphite substrate. Acta Physica Sinica, 2006, 55(10): 5455-5459.doi:10.7498/aps.55.5455 |
| [18] |
Li Xin, Hu Yuan-Zhong, Wang Hui.A molecular dynamics study on lubricant perfluoropolyether in hard disk driver. Acta Physica Sinica, 2005, 54(8): 3787-3792.doi:10.7498/aps.54.3787 |
| [19] |
Wang Chang-Qing, Jia Yu, Ma Bing-Xian, Wang Song-You, Qin Zhen, Wang Fei, Wu Le-Ke, Li Xin-Jian.Molecular dynamics simulations of various metastable structures on Si(001) at different temperatures. Acta Physica Sinica, 2005, 54(9): 4313-4318.doi:10.7498/aps.54.4313 |
| [20] |
Li Zhi-Jie, Pan Zheng-Ying, Zhu Jing, Wei Qi, Wang Yue-Xia, Zang Liang-Kun, Zhou Liang, Liu Ti-Jiang.Simulations of the structure characteristic of diamond-like carbon films formed by ion-beam-assisted deposition. Acta Physica Sinica, 2005, 54(5): 2233-2238.doi:10.7498/aps.54.2233 |