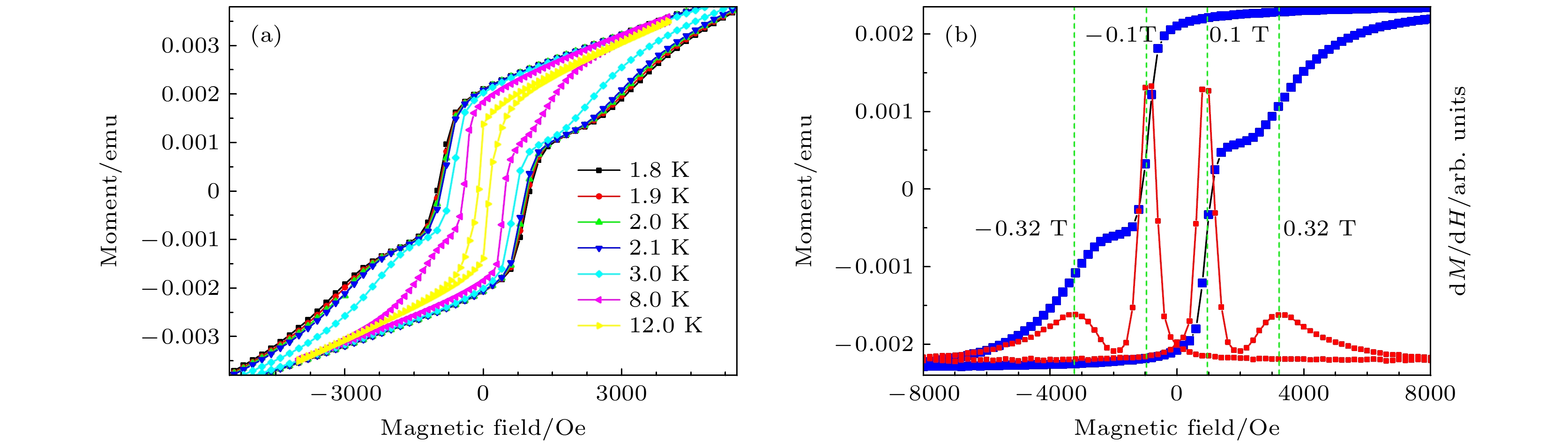
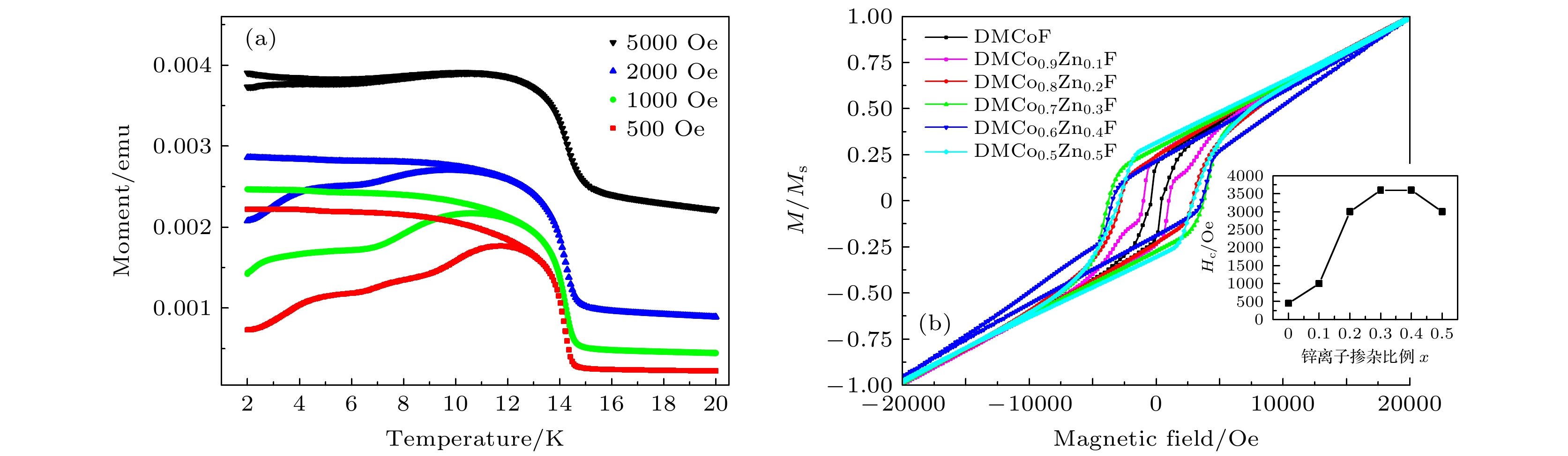
\begin{document}$\left[{(\rm{C}\rm{H}}_{3}{)}_{2}\rm{N}{\rm{H}}_{2}\right]{\rm{C}\rm{o}}_{1-x}{\rm{Z}\rm{n}}_{x} $\end{document}\begin{document}$ {\left[\rm{H}\rm{C}\rm{O}\rm{O}\right]}_{3}$\end{document}are synthesized by the solvothermal method with normal ratio x = 0, 0.1, 0.2, 0.3, 0.4, 0.5. Single crystal diffraction, scanning electron microscope and energy dispersive X-ray spectroscopy results show that Zn ions are uniformly doped into Co-based MOFs crystals. The field cooling curves show that antiferromagnetic phase transition temperature of Co-based MOFs decreases from 15 K for pure Co-MOF x = 0 to 12.8 K for x = 0.2. Abnormal large magnetic hysteresis is obtained for Zn doped crystals with large coercive field 3600 Oe (x = 0.3) compared with 450 Oe coercive field for pure Co-MOF (x = 0), and the hysteresis area of Zinc-doped sample is more than 3 times that of pure cobalt sample. On the other hand, we find a series of steps on the hysteresis loop of DMCo0.9Zn0.1F sample, which gradually disappears with the increase of temperature, similar to the quantum tunneling phenomenon of a single molecule magnet. Previous studies have shown that the long range magnetic interaction and the magnetic single-ion behavior competition coexist in these systems. It is believed that the doping of non-magnetic zinc ions weakens the long-range interaction between Co ions and makes Co ions show the step effect caused by quantum tunneling at low temperature."> Abnormal magnetic phenomenon at low temperature in Zn doped <inline-formula><tex-math id="M1">\begin{document}$ \left[{(\mathbf{C}\mathbf{H}}_{3}{)}_{2}\mathbf{N}{\mathbf{H}}_{2}\right]{\mathbf{C}\mathbf{o}}_{\mathit{x}}{\mathbf{Z}\mathbf{n}}_{1-\mathit{x}}{\left[\mathbf{H}\mathbf{C}\mathbf{O}\mathbf{O}\right]}_{3} $\end{document}</tex-math><alternatives><graphic xmlns:xlink="http://www.w3.org/1999/xlink" xlink:href="3-20221761_M1.jpg"/><graphic xmlns:xlink="http://www.w3.org/1999/xlink" xlink:href="3-20221761_M1.png"/></alternatives></inline-formula> frameworks - 必威体育下载

Search

Article

x

留言板

姓名
邮箱
手机号码
标题
留言内容
验证码

downloadPDF
Citation:

    Abnormal magnetic phenomenon at low temperature in Zn doped $ \left[{(\mathbf{C}\mathbf{H}}_{3}{)}_{2}\mathbf{N}{\mathbf{H}}_{2}\right]{\mathbf{C}\mathbf{o}}_{\mathit{x}}{\mathbf{Z}\mathbf{n}}_{1-\mathit{x}}{\left[\mathbf{H}\mathbf{C}\mathbf{O}\mathbf{O}\right]}_{3} $ frameworks

    Liu Rong-Zhao, Fan Zhen-Jun, Wang Hao-Cheng, Ning Hao-Ming, Mi Zhen-Yu, Liu Guang-Yao, Song Xiao-Hui
    PDF
    HTML
    Get Citation
    Metrics
    • Abstract views:3306
    • PDF Downloads:58
    • Cited By:0
    Publishing process
    • Received Date:07 September 2022
    • Accepted Date:07 November 2022
    • Available Online:16 November 2022
    • Published Online:05 February 2023

      返回文章
      返回
        Baidu
        map