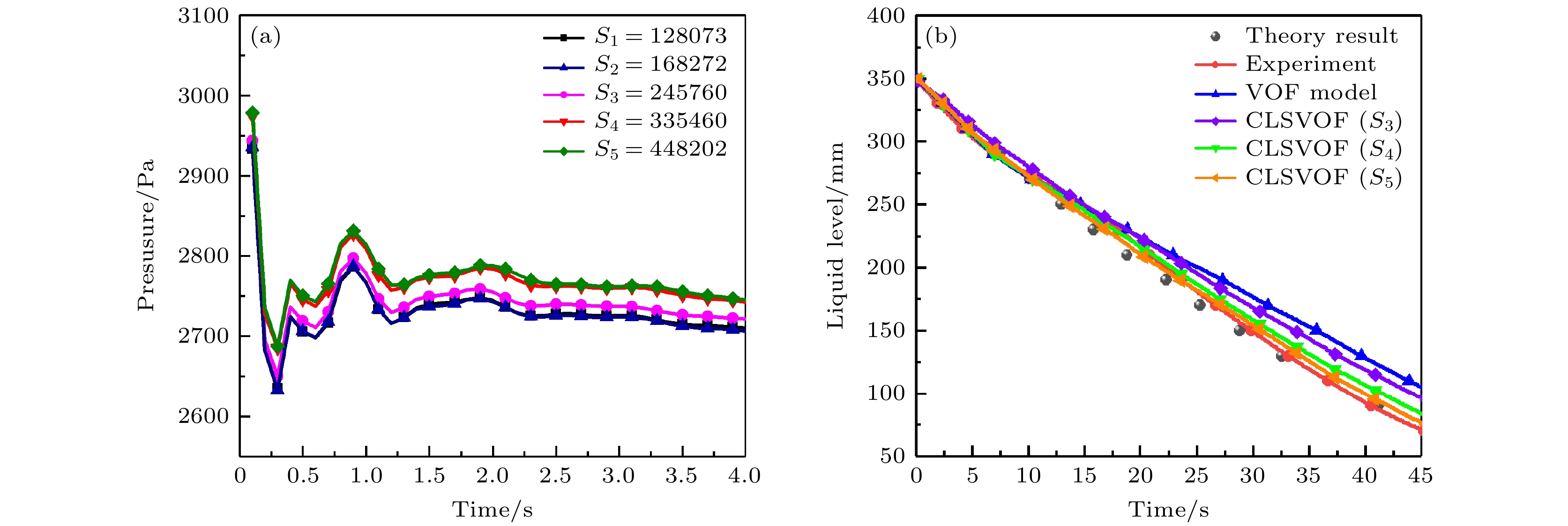
In the evolution of confluence sink vortex with a free surface, there exists some physical processes , such as multiphase coupling, mass transfer, and intensive energy exchange. Here, the transport mechanism of multiphase coupling is a complex dynamic problem with highly nonlinear characteristics. The mechanical modeling and numerical solution of multiphase viscous coupled transport are facing a significant challenge. To address the above problem, a method of modeling and solving multiphase coupling transport of the free sink vortex is proposed. Based on the coupled level set and volume-of-fluid (CLSVOF) method, a multiphase coupling transport model of the free sink vortex is set up with a continuous surface tension model and a realizable (
k-
ε) turbulence model. By using an effective volumetric correction scheme, the high-speed rotating flow is calculated, and the mass conservation of flow field and the velocity field without divergence are ensured. Then, an interphase coupling solution approach accurately traces the multiphase fluid distribution and multiphase interface. The multiphase coupling interface and cross-scale vortex cluster transport laws are obtained according to the multi-characteristic physical variables. The interaction mechanism between the multiphase coupling transport process and the pressure pulsation characteristics is revealed. The results show that the multiphase coupling transport is the critical state of the fluid medium transition. The vortex microclusters are subjected to different spatiotemporal disturbance modes and form the layered threaded waveforms at the interface. With the increase of the nozzle sizes, the multiphase coupling process is strengthened, and the coupling energy shock causes nonlinear pressure pulsation. This study can offer valuable references to the researches of the vortex transport mechanism, cross-scale solution of vortex cluster, and flow pattern tracking.