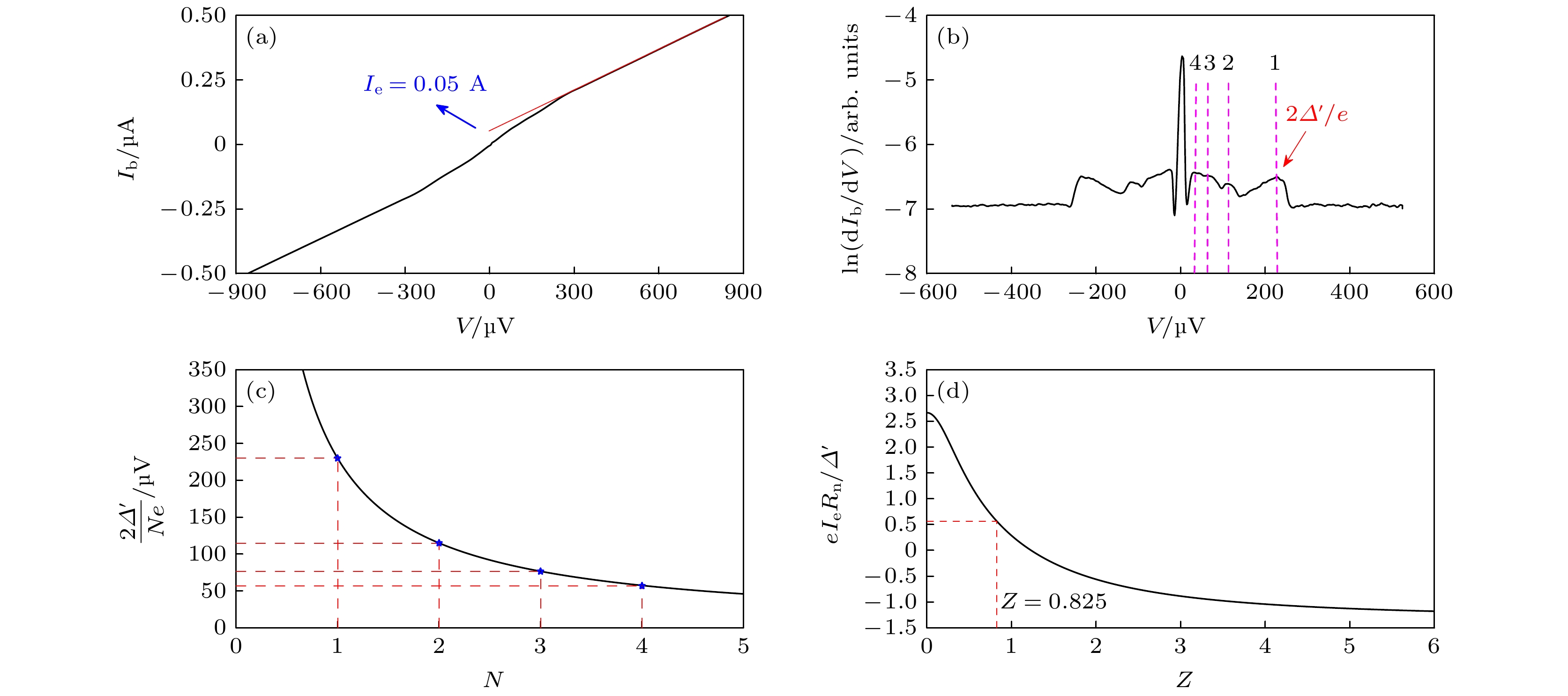
Topological insulator-based Josephson junction, as a candidate device for searching for Majorana zero energy modes, has attracted much attention. One of the key issues along this direction is to fabricate Josephson junctions with high-quality interfaces, hoping to searching for 4π-period current-phase relation in topologically non-trivial Josephson junction. In this work, the Josephson junctions based on three-dimensional topological insulator nanowires Bi
2Te
3and Bi
2(Se
xTe
1–x)
3are fabricated to study their superconducting proximity effects, multiple Andreev reflections, and current-phase relations. A number of interesting phenomena are observed, including the anomalous enhancement in junctions’ critical supercurrent with magnetic field, and the appearance of half-integer Shapiro steps in the ac Josephson effect. And, we discuss the possible origins of the observed anomalous behaviors in general, and their relation with the ferromagnetic layer of TiTe alloy formed at the interface between the topological insulator nanowires and the Ti buffer layer of the metallic electrodes, in particular. We provide the experimental evidence for the formation of a ferromagnetic TiTe alloy layer at the interface of our device. And, we believe that the formation of such a layer in our Josephson device breaks the time reversal symmetry, leading to the observed anomalous enhancement of the critical supercurrent with magnetic field, as well as the appearance of half-integer Shapiro steps. Our results suggest that to study the topologically non-trivial behaviors such as 4π-period current-phase relation, one still needs to improve the interface quality of the superconductor-normal metal-superconductor type of Josephson junction devices.