Ultrasonic detection is an effective method to quantify bubbles in opaque liquid, and acoustic scattering model is the key in ultrasonic inversion technique. Classical scattering models are usually based on the spherical assumption, and
kais much less than 1. However, these conditions are not always satisfied in practical applications. In this study, a quantitative strategy of ultrasonic inversion is proposed for non-spherical bubbles and
kadeviation assumption. A series of solution models for a spherical gas bubble is established without considering the
kaconstraint, and it is compared with the classical Medwin (
$ka\ll1 $
) and Anderson (
ka≈ 1) models. The difference in scattering cross section
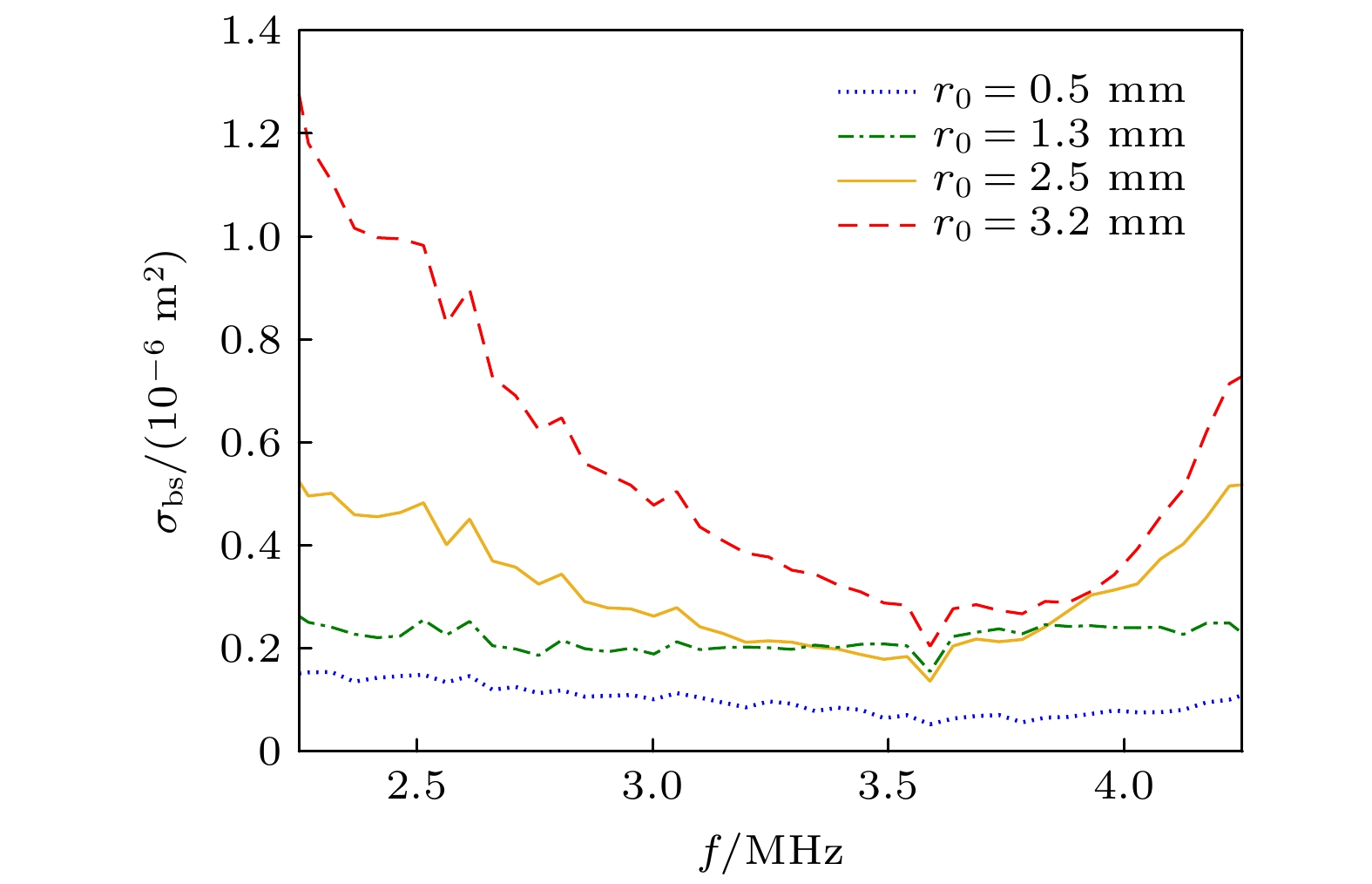
σ
bsbetweem them is only at the higher order formants of scattering, so the fitted line can be used to solve the multi-valued problem between
σ
bsand
ka. For a non-spherical bubble,
σ
bsis determined by the frequency domain backscattering signal, the size is characterized by the equivalent radius
a
*, and the inversion is performed by fitted curve from series solution model. Ultrasonic quantitative results are examined by high-speed photography. Results show that during the bubbles rising along a zigzag path, they develop non-spherical bubbles, their scattering cross sections are measured by the frequency domain scattering signal obtained at a position of ultrasonic measurement, and the equivalent radius is inverted by the series solution fitting curve. The deviation of the result from the actual result
r
0is about 1mm (relative error less than 45%) when 9≤
kr
0≤35. This method can be used for implementing the acoustic inversion of non-spherical bubbles in a certain range of measurement accuracy.