| [1] |
Qu Zi-Han, Zhao Yang, Ma Fei, You Jing-Bi.Preparation of high-performance large-area perovskite solar cells by atomic layer deposition of metal oxide buffer layer. Acta Physica Sinica, 2024, 73(9): 098802.doi:10.7498/aps.73.20240218 |
| [2] |
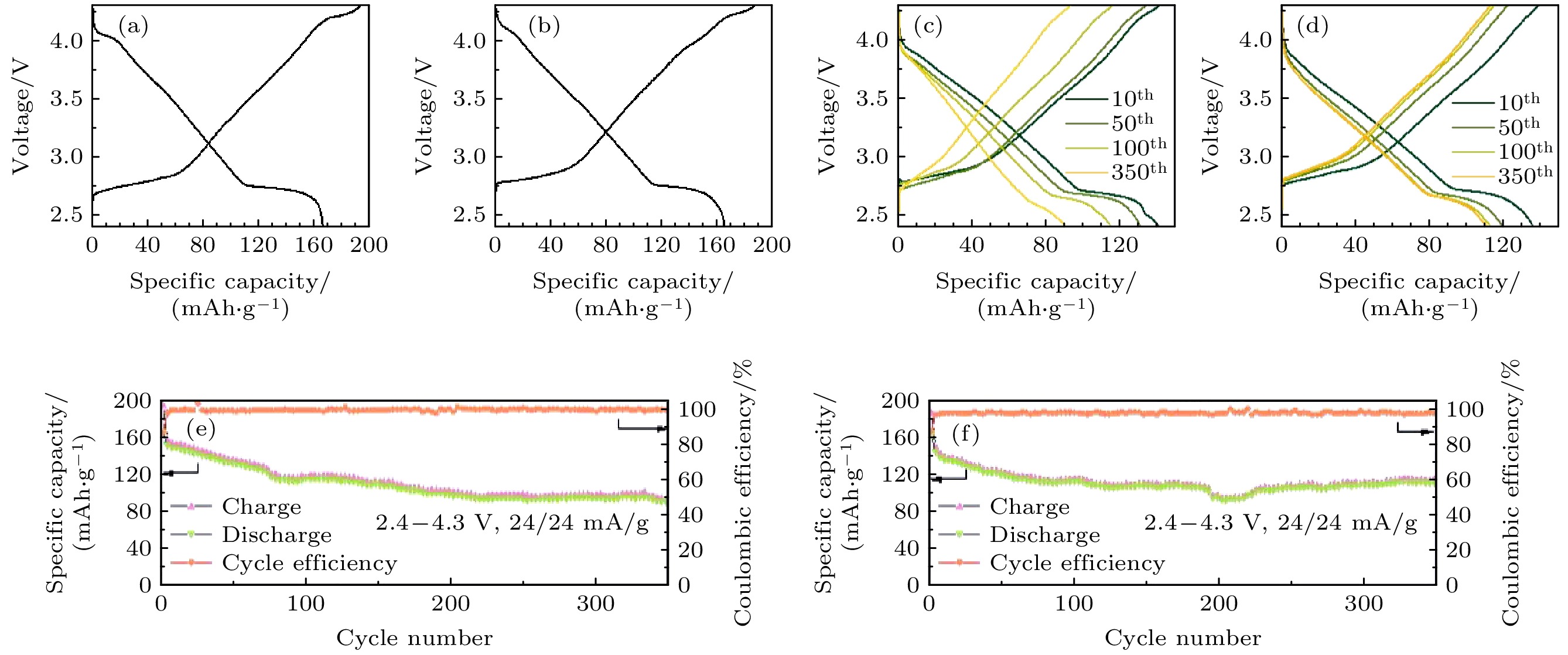
Ran Pei-Lin, Wu Kang, Zhao En-Yue, Wang Fang-Wei, Wu Zhi-Min.Enhancing reversible capacity and cycling stability of Li1.2Ni0.13Fe0.13Mn0.54O2by inducing low Li/Ni misalignment through Mo doping. Acta Physica Sinica, 2024, 73(2): 028201.doi:10.7498/aps.73.20231361 |
| [3] |
Yang Yuan, Hu Nai-Fang, Jin Yong-Cheng, Ma Jun, Cui Guang-Lei.Research advance of lithium-rich cathode materials in all-solid-state lithium batteries. Acta Physica Sinica, 2023, 72(11): 118801.doi:10.7498/aps.72.20230258 |
| [4] |
Yang Wen, Ding Qian-Yao, Zhai Dong-Mei, Bo Kai-Wen, Feng Yan-Yan, Wen Jie, He Fang.Fabrication and electrochemical properties of hollow cage-like nickel cobalt layered hydroxides with porous structure. Acta Physica Sinica, 2022, 71(1): 018201.doi:10.7498/aps.71.20211100 |
| [5] |
Chen Si-Yu, Ye Xiao-Juan, Liu Chun-Sheng.Theoretical research of two-dimensional germanether in sodium-ion battery. Acta Physica Sinica, 2022, 71(22): 228202.doi:10.7498/aps.71.20220572 |
| [6] |
Ding Fei-Xiang, Rong Xiao-Hui, Wang Hai-Bo, Yang Yang, Hu Zi-Lin, Dang Rong-Bin, Lu Ya-Xiang, Hu Yong-Sheng.Phase transitions of Na-ion layered oxide materials and their influence on properties. Acta Physica Sinica, 2022, 71(10): 108801.doi:10.7498/aps.71.20220291 |
| [7] |
.Fabrication and electrochemical properties of hollow cage-like nickel cobalt layered hydroxides with porous structure. Acta Physica Sinica, 2021, (): .doi:10.7498/aps.70.20211100 |
| [8] |
Zhang Yong-Quan, Yao An-Quan, Yang Liu, Zhu Kai, Cao Dian-Xue.Preparation and electrochemical performance of sodium manganese oxides as cathode materials for aqueous Mg-ion batteries. Acta Physica Sinica, 2021, 70(16): 168201.doi:10.7498/aps.70.20202130 |
| [9] |
Jing Jing, Li Zhi-Peng, Lu Wei-Sheng, Wang Hong-Yu, Yang Zu-An, Yang Yi, Yin Qi-Sheng, Yang Fu-Ling, Shen Xiao-Ming, Zeng Jian-Min, Zhan Feng.Transparent conductive oxide film with antireflective properties for Cu2ZnSnS4solar cells. Acta Physica Sinica, 2020, 69(23): 237801.doi:10.7498/aps.69.20200897 |
| [10] |
Wang Wen-Xun, Ren Yan-Biao, Zhang Shi-Chao, Zhang Lin-Cai, Qi Jing-Bo, He Xiao-Wu.Preparation of three-dimensional graphene foam with controllable defects by closed-environment chemical vapor deposition method and composite electrode electrochemical performance. Acta Physica Sinica, 2020, 69(14): 148101.doi:10.7498/aps.69.20200454 |
| [11] |
Lin Chuan-Jin, Zheng Feng, Zhu Zi-Zhong.Electronic structures and Li diffusion in cathode material Li2FeO2of Li-ion batteries. Acta Physica Sinica, 2019, 68(15): 157201.doi:10.7498/aps.68.20190213 |
| [12] |
Zheng Lu-Min, Zhong Shu-Ying, Xu Bo, Ouyang Chu-Ying.First-principles study of rare-earth-doped cathode materials Li2MnO3in Li-ion batteries. Acta Physica Sinica, 2019, 68(13): 138201.doi:10.7498/aps.68.20190509 |
| [13] |
Lu Ya-Xiang, Zhao Cheng-Long, Rong Xiao-Hui, Chen Li-Quan, Hu Yong-Sheng.Research progress of materials and devices for room-temperature Na-ion batteries. Acta Physica Sinica, 2018, 67(12): 120601.doi:10.7498/aps.67.20180847 |
| [14] |
Feng Yan-Yan, Huang Hong-Bin, Zhang Xin-Ju, Yi Ya-Jun, Yang Wen.Synthesis and electrochemical properties of Ni-Co layered double hydroxides with high performance. Acta Physica Sinica, 2017, 66(24): 248202.doi:10.7498/aps.66.248202 |
| [15] |
Ma Hao, Liu Lei, Lu Xue-Sen, Liu Su-Ping, Shi Jian-Ying.Electronic structure and transport properties of cathode material Li2FeSiO4 for lithium-ion battery. Acta Physica Sinica, 2015, 64(24): 248201.doi:10.7498/aps.64.248201 |
| [16] |
Ren Xiao-Dong, Liu Jian-Jun, Zhang Wen-Qing.Strain effect on the intercalation potential of the layered Mn-contained lithium ion batteries cathode materials: a first principles method. Acta Physica Sinica, 2012, 61(18): 183101.doi:10.7498/aps.61.183101 |
| [17] |
Bai Ying, Wang Bei, Zhang Wei-Feng.Nano-LiNiO2 as cathode material for lithium ion battery synthesized by molten salt method. Acta Physica Sinica, 2011, 60(6): 068202.doi:10.7498/aps.60.068202 |
| [18] |
Yue Min, Hu She-Jun, Hou Xian-Hua, Liang Qi, Peng Wei.Preparation and characterization of positive materials LiMn1-xFexPO4(0x<1) for lithium ion batteries. Acta Physica Sinica, 2011, 60(3): 038202.doi:10.7498/aps.60.038202 |
| [19] |
Ouyang Chu-Ying, Hu Guo-Jin.Influence of surface effect to the performance of LiMn2O4 cathode material for lithium ion batteries. Acta Physica Sinica, 2010, 59(8): 5863-5869.doi:10.7498/aps.59.5863 |
| [20] |
He Ji-Zhou, Wang Lei, Li Jun-Bin.Influence of quantum degeneracy on the performance of a Stirling refrigeration cycle. Acta Physica Sinica, 2005, 54(1): 24-29.doi:10.7498/aps.54.24 |