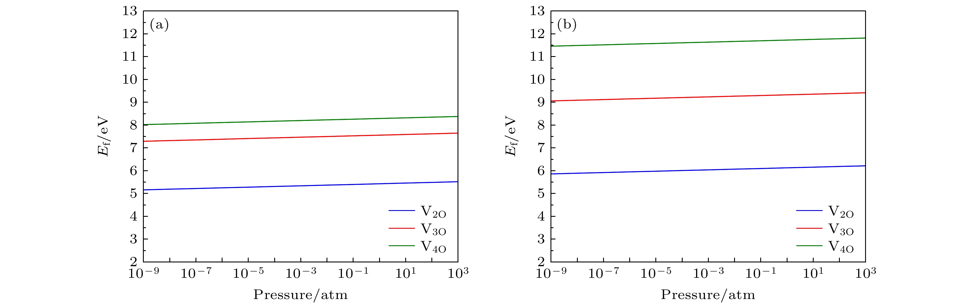
\begin{document}$R\bar{3}m)$\end{document} and Li1.167Ni0.167Co0.167Mn0.5O2 (space group C2/m), are calculated. Results show that the formation energy of oxygen vacancy cluster of the material with less nickel content Li1.167Ni0.167Co0.167Mn0.5O2 can be always higher than that of the material Li1.2Ni0.32Co0.04Mn0.44O2 with higher nickel content. This indicates that the oxygen vacancy clusters are more likely to form in cathode material with higher nickel content. The formation energy of the oxygen vacancy cluster near the transition metal is always greater than that near the lithium ion, indicating that the removal of oxygen tends to occur near the Li ion. Lower temperature and higher partial pressure can increase the formation energy of oxygen vacancy cluster, and therefore inhibit the formation of oxygen vacancy cluster. In addition, the formation energy values of oxygen vacancy clusters with the transition metals in the materials replaced by other transition metals (i.e., Ti and Mo) are also calculated. The results show that, in addition to the case of Ni replaced by Ti near the double oxygen vacancies near the Li-ion in Li1.2Ni0.32Co0.04Mn0.44O2, all the remaining cases of the transition metals Ni or Mn replaced by Ti or Mo always increase the formation energy of the O-vacancy cluster. Therefore, the doping should be able to inhibit the loss of oxygen and improve the structural stability of material."> - 必威体育下载

Search

Article

x

留言板

姓名
邮箱
手机号码
标题
留言内容
验证码

downloadPDF
Citation:

    Shi Xiao-Hong, Hou Bin-Peng, Li Zhi-Shuo, Chen Jing-Jin, Shi Xiao-Wen, Zhu Zi-Zhong
    PDF
    HTML
    Get Citation
    Metrics
    • Abstract views:4760
    • PDF Downloads:141
    • Cited By:0
    Publishing process
    • Received Date:03 December 2022
    • Accepted Date:05 January 2023
    • Available Online:04 February 2023
    • Published Online:05 April 2023

      返回文章
      返回
        Baidu
        map