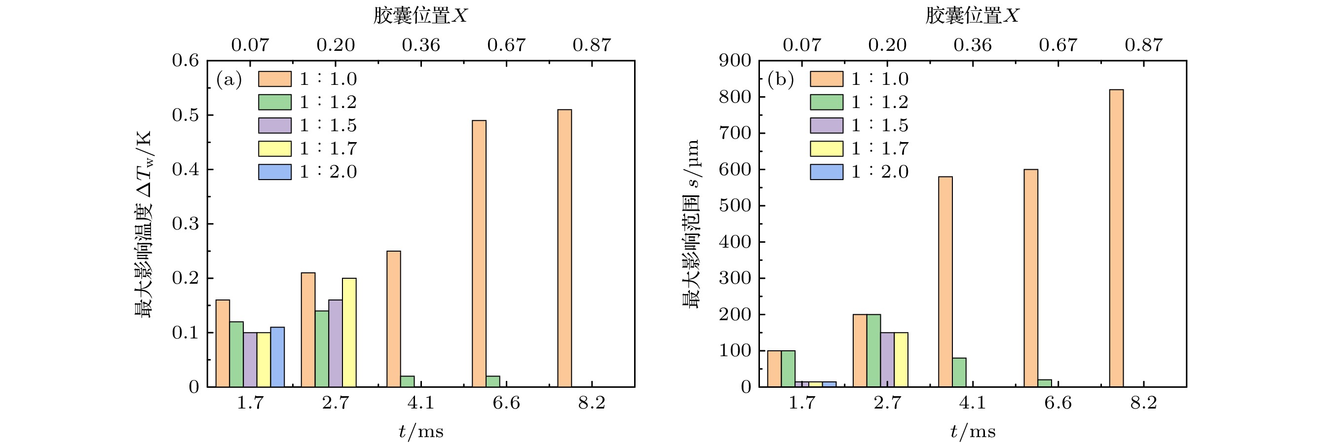
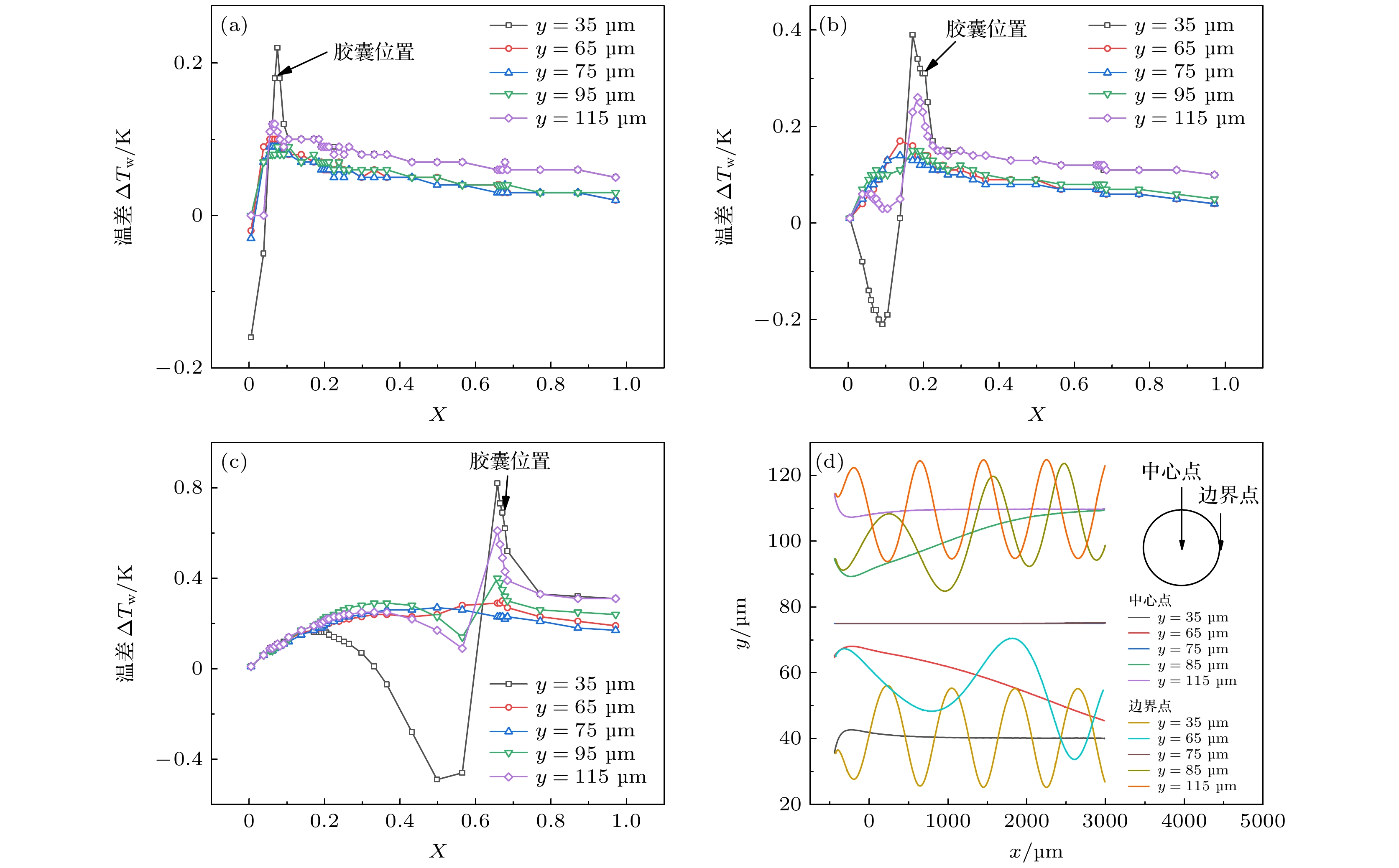
| [1] |
Chen Long, Wang Di-Ya, Chen Jun-Yu, Duan Ping, Yang Ye-Hui, Tan Cong-Qi.Characteristics and suppression methods of low-frequency oscillation in Hall thruster. Acta Physica Sinica, 2023, 72(17): 175201.doi:10.7498/aps.72.20230680 |
| [2] |
He Kun, Guo Xiu-Ya, Zhang Xiao-Ying, Wang Lei.Numerical investigation of electrohydrodynamic solid-liquid phase change in square enclosure. Acta Physica Sinica, 2021, 70(14): 149101.doi:10.7498/aps.70.20202127 |
| [3] |
Zhao Ke, She Yang-Zi, Jiang Yan-Long, Qin Jing, Zhang Zhen-Hao.Numerical study on phase change behavior of liquid nitrogen droplets impinging on solid surface. Acta Physica Sinica, 2019, 68(24): 244401.doi:10.7498/aps.68.20190945 |
| [4] |
Zhang Long-Yan, Xu Jin-Liang, Lei Jun-Peng.Size effect on boundary condition at solid-liquid interface in microchannel. Acta Physica Sinica, 2019, 68(2): 020201.doi:10.7498/aps.68.20181876 |
| [5] |
Min Ling-Li, Chen Song-yue, Sheng Zhi-Zhi, Wang Hong-Long, Wu Feng, Wang Miao, Hou Xu.Development and application of bio-inspired and biomimetic microfluidics. Acta Physica Sinica, 2016, 65(17): 178301.doi:10.7498/aps.65.178301 |
| [6] |
Liu Hu, Qiang Hong-Fu, Chen Fu-Zhen, Han Ya-Wei, Fan Shu-Jia.A new boundary treatment method in smoothed particle hydrodynamics. Acta Physica Sinica, 2015, 64(9): 094701.doi:10.7498/aps.64.094701 |
| [7] |
Zeng Guo, Li Xing-Yuan, Liu Tian-Qi, Zhao Rui.Multi-channel wide area adaptive damping control for suppressing low-frequency and sub-synchronous oscillation. Acta Physica Sinica, 2014, 63(22): 228801.doi:10.7498/aps.63.228801 |
| [8] |
Liu Qiu-Zu, Kou Zi-Ming, Jia Yue-Mei, Wu Juan, Han Zhen-Nan, Zhang Qian-Qian.Wettability alteration simulation of modified hydrophobic solid surface by lattice Boltzmann method. Acta Physica Sinica, 2014, 63(10): 104701.doi:10.7498/aps.63.104701 |
| [9] |
Wang Xiao-Wu, Xu Hai-Hong.Study of the solid-solid phase change in polyalcohol binary systems. Acta Physica Sinica, 2014, 63(13): 136501.doi:10.7498/aps.63.136501 |
| [10] |
Shi Dong-Yan, Wang Zhi-Kai, Zhang A-Man.A novel lattice Boltzmann method for dealing with arbitrarily complex fluid-solid boundaries. Acta Physica Sinica, 2014, 63(7): 074703.doi:10.7498/aps.63.074703 |
| [11] |
Yan Han, Zhang Wen-Ming, Hu Kai-Ming, Liu Yan, Meng Guang.Investigation on characteristics of flow in microchannels with random surface roughness. Acta Physica Sinica, 2013, 62(17): 174701.doi:10.7498/aps.62.174701 |
| [12] |
Liu Qiu-Zu, Kou Zi-Ming, Han Zhen-Nan, Gao Gui-Jun.Dynamic process simulation of droplet spreading on solid surface by lattic Boltzmann method. Acta Physica Sinica, 2013, 62(23): 234701.doi:10.7498/aps.62.234701 |
| [13] |
Su Tie-Xiong, Ma Li-Qiang, Liu Mou-Bin, Chang Jian-Zhong.A numerical analysis of drop impact on solid surfaces by using smoothed particle hydrodynamics method. Acta Physica Sinica, 2013, 62(6): 064702.doi:10.7498/aps.62.064702 |
| [14] |
Xu Shao-Feng, Wang Jiu-Gen.Dissipative particle dynamics simulation of macromolecular solutions under Poiseuille flow in microchannels. Acta Physica Sinica, 2013, 62(12): 124701.doi:10.7498/aps.62.124701 |
| [15] |
Zhang Ming-kun, Chen Shuo, Shang Zhi.Numerical simulation of a droplet motion in a grooved microchannel. Acta Physica Sinica, 2012, 61(3): 034701.doi:10.7498/aps.61.034701 |
| [16] |
Wei Wei, Lu Lu-Yi, Gu Zhao-Lin.Modeling and simulation of electrification of wind-blown-sand two-phase flow. Acta Physica Sinica, 2012, 61(15): 158301.doi:10.7498/aps.61.158301 |
| [17] |
Wang Xiao-Wu, Xu Hai-Hong.Mechanism of polyalcohol solid—solid phase change. Acta Physica Sinica, 2011, 60(3): 030507.doi:10.7498/aps.60.030507 |
| [18] |
Liu Xiu-Mei, He Jie, Lu Jian, Ni Xiao-Wu.The effect of surface tension on bubble oscillation near a rigid boundary. Acta Physica Sinica, 2009, 58(6): 4020-4025.doi:10.7498/aps.58.4020 |
| [19] |
Xue Xiao-Bo, Yao Zhao-Hui, He Feng.Information preservation method for micro-scale flow with temperature variation. Acta Physica Sinica, 2006, 55(3): 1276-1282.doi:10.7498/aps.55.1276 |
| [20] |
Wang Hong, Lou Ping, Zhuang Yong-He.Flow equations for solving energy spectrum (T≠0)of the t-J model. Acta Physica Sinica, 2005, 54(8): 3764-3767.doi:10.7498/aps.54.3764 |