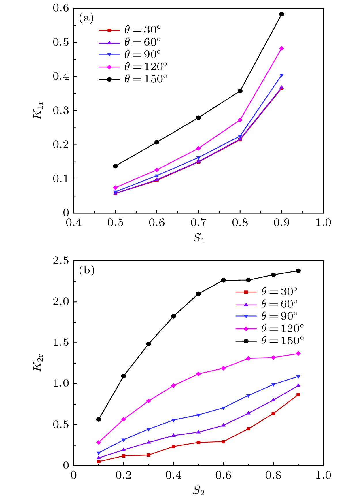
Immiscible two-phase flow exists in many fields such as the chemical engineering, energy engineering, and geography. It is of great significance in enhancing the oil recovery and geological carbon dioxide storage. Relative permeability is a comprehensive reflection of the effects of various factors including the saturation, contact angle, viscosity ratio, and capillary number of immiscible two-phase flow, and it is a key parameter describing such a flow and thus can directly reflect the flow capacity of each phase. As a new fluid numerical calculation method, the lattice Boltzmann method (LBM) has its own unique advantage in simulating various flows because it does not need to capture the phase interface, and thus has been widely used in recent years. In this research, the multi-relaxation time multi-component pseudopotential lattice Boltzmann method is improved to make it possible to solve the two-phase relative permeability under high viscosity ratios. It is known that the LBM is a particle-based hydrodynamic method, with the spontaneous diffusion of components in multi-component system inevitably causing a mixing between components, leading to distortion of the velocity of two-phase flow with a high viscosity ratio. The color gradient model is introduced into the pseudopotential model for the treatment of mixing, the multiple relaxation time is employed to improve the numerical stability and viscosity ratio range, and the numerical distortion caused by mixing is therefore resolved. The resulting model is validated by the use of the two-phase layered flow in a 2D infinite channel, and accurate numerical results are obtained even if the viscosity ratio reaches 1000. Based on the improved model, the two-phase flow in a two-dimensional horizontal channel is analyzed and the effects of saturation, viscosity ratio, wettability and capillary number on relative permeability and phase permeation curves are investigated. The results show that the relative permeability of the high-viscosity phase increases with the increase of the viscosity ratio, and the saturation range for maintaining high flow capacity broadens with the increase of the low-viscosity phase. There is a limit for the influence of viscous coupling effect on the relative permeability of two phases: at a certain saturation, the relative permeability of the small viscosity phase has a minimum value while that of the large viscosity phase has a maximum value, the viscous coupling effect will never make the relative permeability of the small viscosity phase to be lower than the minimum value and that of the large viscosity phase to be higher than the maximum value. Non-wetting condition plays a role in increasing the flow capacity and relative permeability of the high-viscosity phase, while the wetting condition can weaken the flow capability, relative permeability of the high-viscosity phase. When the high-viscosity phase is a non-wetting phase, the decrease of the contact area with the solid wall increases its proportion in the middle flow passage, which enables it to maintain a strong flow capability in a wide saturation range. Wall wetting tends to inhibit fluid flow and consequently reduce the relative permeability. The increase of the capillary number may cause a more obvious contact angle hysteresis effect, which reduces the relative permeability of two phases.