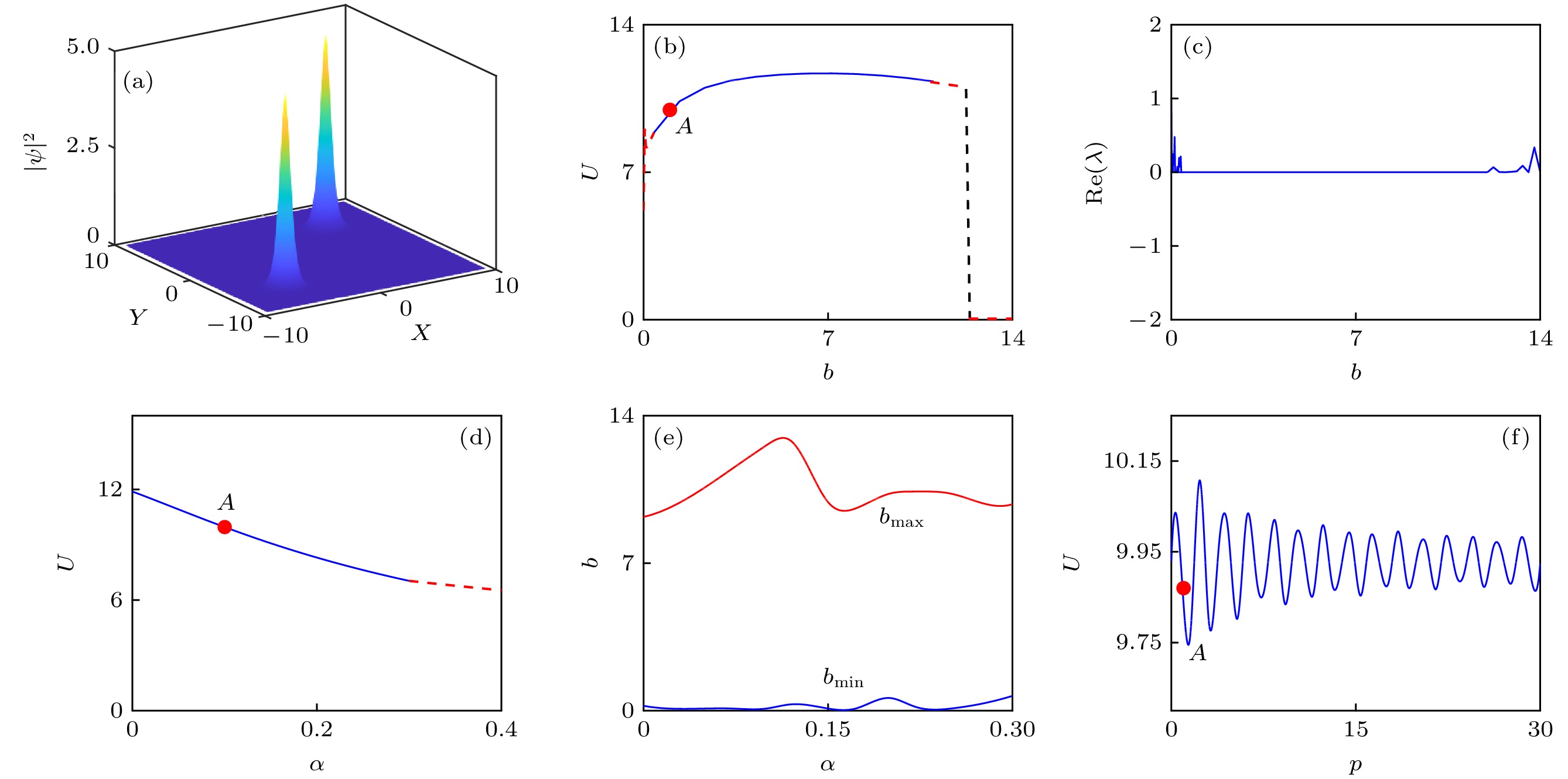
Realizing stable high-dimensional light solitons is a long-standing goal in the study of nonlinear optical physics. However, in high-dimensional space, the light field will inevitably be distorted due to diffraction. In order to solve the diffraction effect in nonlinear Kerr media and achieve the spatial localization of light fields, we propose a scheme to generate stable two-dimensional (2D) solitons in a cold Rydberg atomic system with a Bessel optical lattice, where a three-level atomic structure, a weak probe laser field, and a strong control field constitute the Rydberg-dressed atomic system. When the local nonlinearity, Bessel potential, and nonlocal nonlinearity which is caused by the long-range Rydberg-Rydberg interaction (RRI) between Rydberg atoms are balanced, the probe field can be localized. Under the approximation of electric dipole and rotating wave, the stable solution of probe field is obtained by solving Maxwell-Bloch equations numerically. A cluster of 2D spatial solitons, including fundamental, two-pole, quadrupole and vortex solitons, is found in this system. Among them, the fundamental, dipole and quadrupole have, one, two, and four intensity centers, respectively. Vortex solitons, on the other hand, exhibit vertical characters in profiles and phase structures. The formation and transmission of these solitons can be controlled by system parameters, such as the propagation coefficient, the degree of nonlocal nonlinearity, and Bessel lattice strength. The stable regions of these solitons are determined by anti Vakhitov Kolokolov (anti-VK) criterion and linear stability analysis method. It is found that four kinds of solitons can be generated and stably propagate in space with proper parameters. Owing to the different structures of the poles, the fundamental state and vortex state remain stable, while the quadrupole ones are unstable. In the modulation of solitons, there is a cutoff value of propagation constant
${b_{{\text{co}}}}$
, only below which value, the solitons can propagate stably. The light intensity of soliton shows a periodic behavior by tuning Bessel lattice strength. The period of the intensity decreases with the order of the solitons as a result of the interaction between the poles. It is also found that the solitons are more stable with weak nonlocal nonlinearity coefficient. This study provides a new idea for the generation and regulation of optical solitons in high dimensional space.