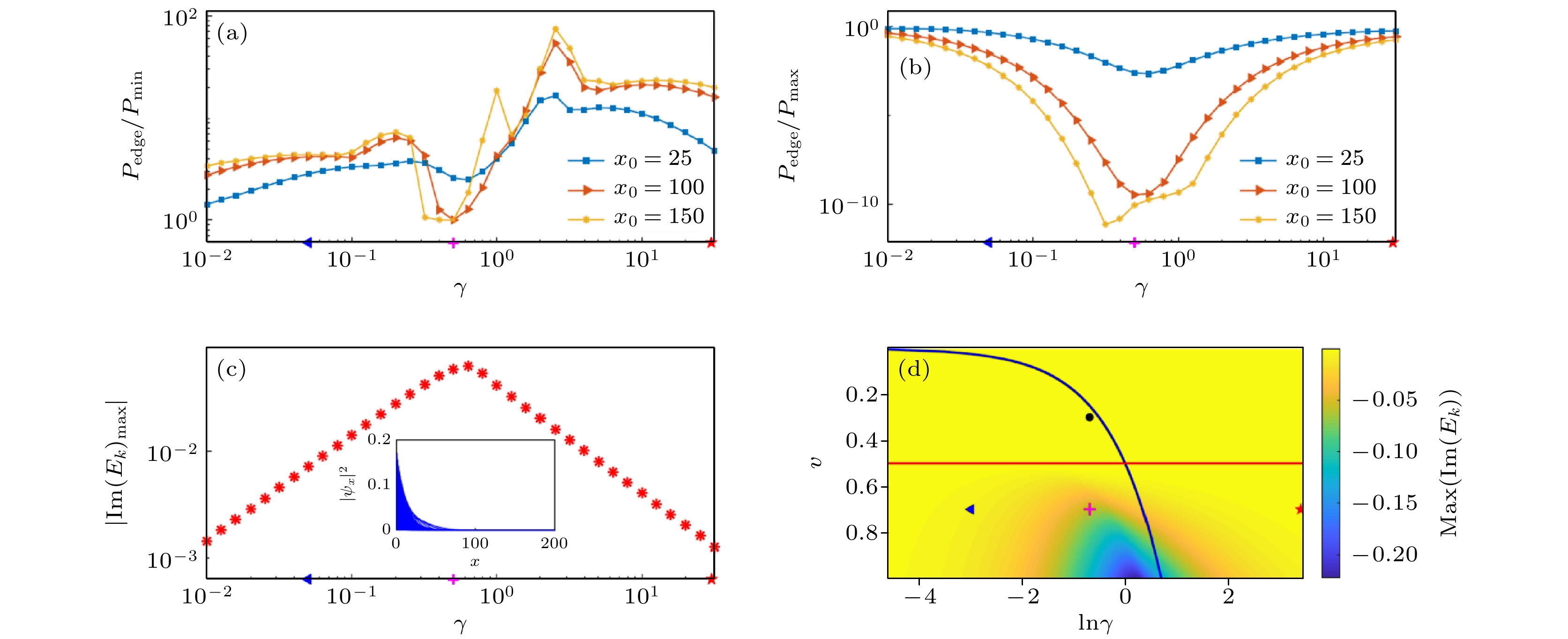
In quantum mechanics, the Hermitian Hamiltonian is generally used to describe the ideal closed quantum system, but in reality, the physical system is closely related to the environment, and the open quantum system coupled to the environment can be described by the equivalent non-Hermitian Hamiltonian to a certain extent. Among them, the dissipation intensity is closely related to the dynamic properties of non-Hermitian quantum systems. Therefore, it is of great practical significance to study how dissipation affects particle loss. In this paper, the dynamic law related to dissipation intensity in a one-dimensional non-Hermitian system under open boundary condition is studied, and it is found that dissipation can induce the recurrence of edge burst. After the time-dependent evolution of the particles in the one-dimensional non-Hermitian dissipative lattice system with open boundary condition, there is an edge burst in the system, that is, there is a large probability of particle loss at the edge, and the edge burst disappears after increasing the intracell hopping. It is found that if the dissipation intensity increases or decreases, the edge burst will reappear. This kind of reappearance is different from the original edge burst, which is mainly manifested in the loss probability distribution of particles from the edge distribution to the bulk distribution, which is due to the difference in probability of particle motion direction between the two cases. Under the re-induced edge burst, the particles move leftward and rightward from their initial positions, and rebound from the left after having reached the boundary, forming a more obvious loss probability at the edge and gradually decreasing to the body area. In the original edge burst, the particles only move to the left with a greater probability, and are ‘trapped’ at the edge to completely dissipated, forming a distribution with an independent loss peak at the edge. The movement to the left is due to the non-Hermitian skin effect. The deeper reason for different movement directions is related to parity-time symmetry. Under the parameter near the parity-time symmetry breaking point, the loss probability of the particle is of unilateral distribution, and the loss probability of the particle moving to both sides is of bilateral distribution when it is far away. This is the description of the dissipation-induced edge burst recurrence phenomenon and its characteristics. In addition, this paper also studies the influence of impurity barrier on the probability distribution of particle loss in non-Hermitian dynamics. The results show that placing a small barrier on the non-dissipative
A-site can obviously hinder the particle motion, and when the barrier increases to a certain height, its influence on the particle motion tends to be unchanged. And the barrier at the dissipative
Blattice has little effect on the dynamics.