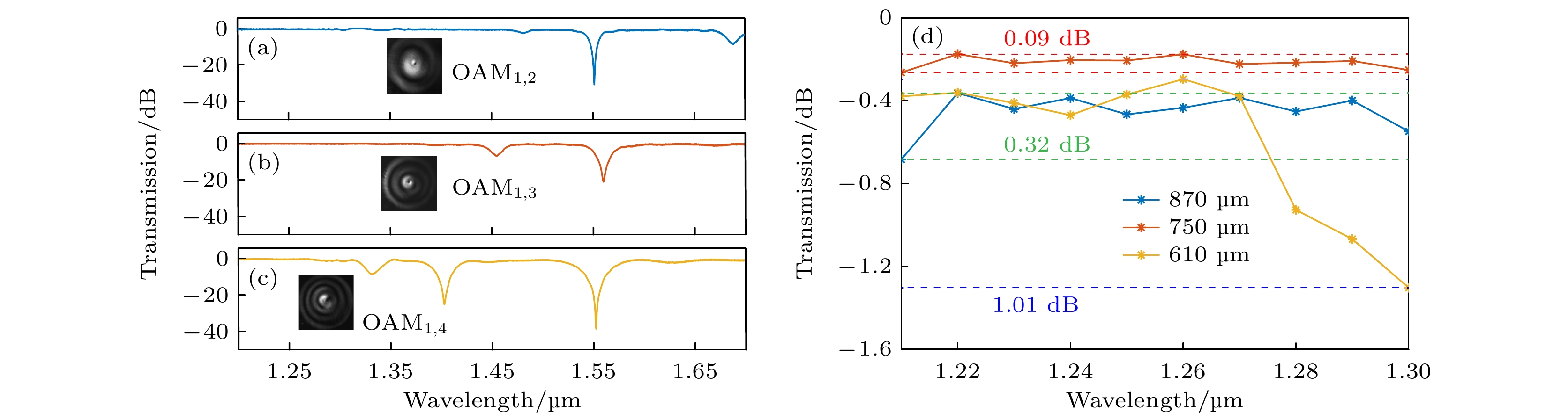
In this paper, a new four-electrode arc discharge device with large constant temperature region is designed, which is used to prepared high-quality off-axis helical long-period fiber grating. The larger constant temperature heating area is more conducive to releasing the stress of optical fiber, so that the prepared device is less off-axis. In order to show that low off-axis is a key parameter of high-quality off-axis helical long-period fiber grating, the effects of single mode fiber on transmission spectrum of off-axis helical long-period fiber grating under different coupling lengths, pitches, core refractive indexes, cladding refractive indexes, core diameters, cladding diameters and off-axis quantity are simulated by using beam propagation method. Since traditional methods are difficult to measure the off-axis helical long-period fiber grating with small off-axis quantity, the off-axis quantity of the prepared device is estimated by using the method of spectral comparison and back-thrust off-axis quantity in this work. The off-axis helical long-period fiber grating is prepared by using the established processing device. The off-axis quantities of the prepared devices are about 0.12, 0.13 and 0.16 µm, respectively, according to the comparison between the simulated transmission spectrum and the actual spectrum. Finally, experiments on the torsional resistance and repeatability of the off-axis helical long-period fiber grating prepared by the device are carried out. The experimental results show that the prepared grating has certain torsional resistance and good spectral repeatability.