Co
3Sn
2S
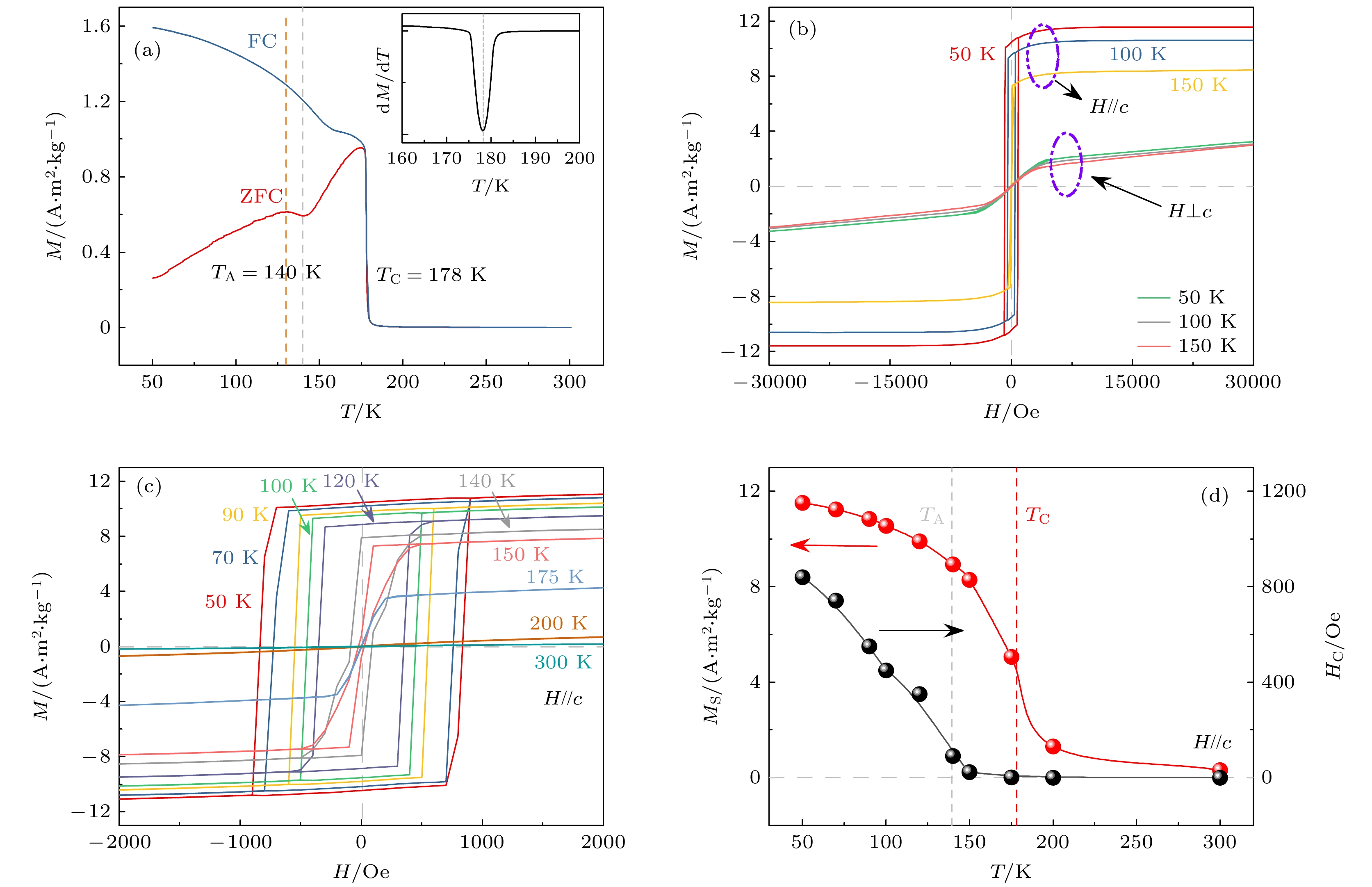
2is a magnetic Weyl semimetal with special magnetic and electronic structure. Its unique band structure makes it have many interesting physical properties such as abnormal Hall effect, negative magnetoresistance effect, and abnormal Nernst effect. In this work, high quality Co
3Sn
2S
2single crystal with a dimension of 8 mm×7 mm×0.5 mm is synthesized by self-flux method. We measure its electrical transport properties (magnetoresistance effect, Hall effect, etc.) and thermal transport properties (Seebeck effect) at low temperature. The free surface of the single crystal exhibits obvious layered growth characteristics, indicating that the Co
3Sn
2S
2crystal grows along the
c-axis direction. The value of the normalized resistivity
ρ
3 K/
ρ
300 Kfor the single crystal sample at 3 K is only 0.08, indicating that the crystal quality of the sample is at a relatively high level. The thermomagnetic (
M-
T) curves show that a special magnetic structure near 140 K (
T
A) below the Curie temperature point (
T
C= 178 K). This special magnetic structure is a magnetic transition state in which ferromagnetic state and antiferromagnetic state coexist, making them appear as a local minimum point in the
M-
Tcurve. The Co
3Sn
2S
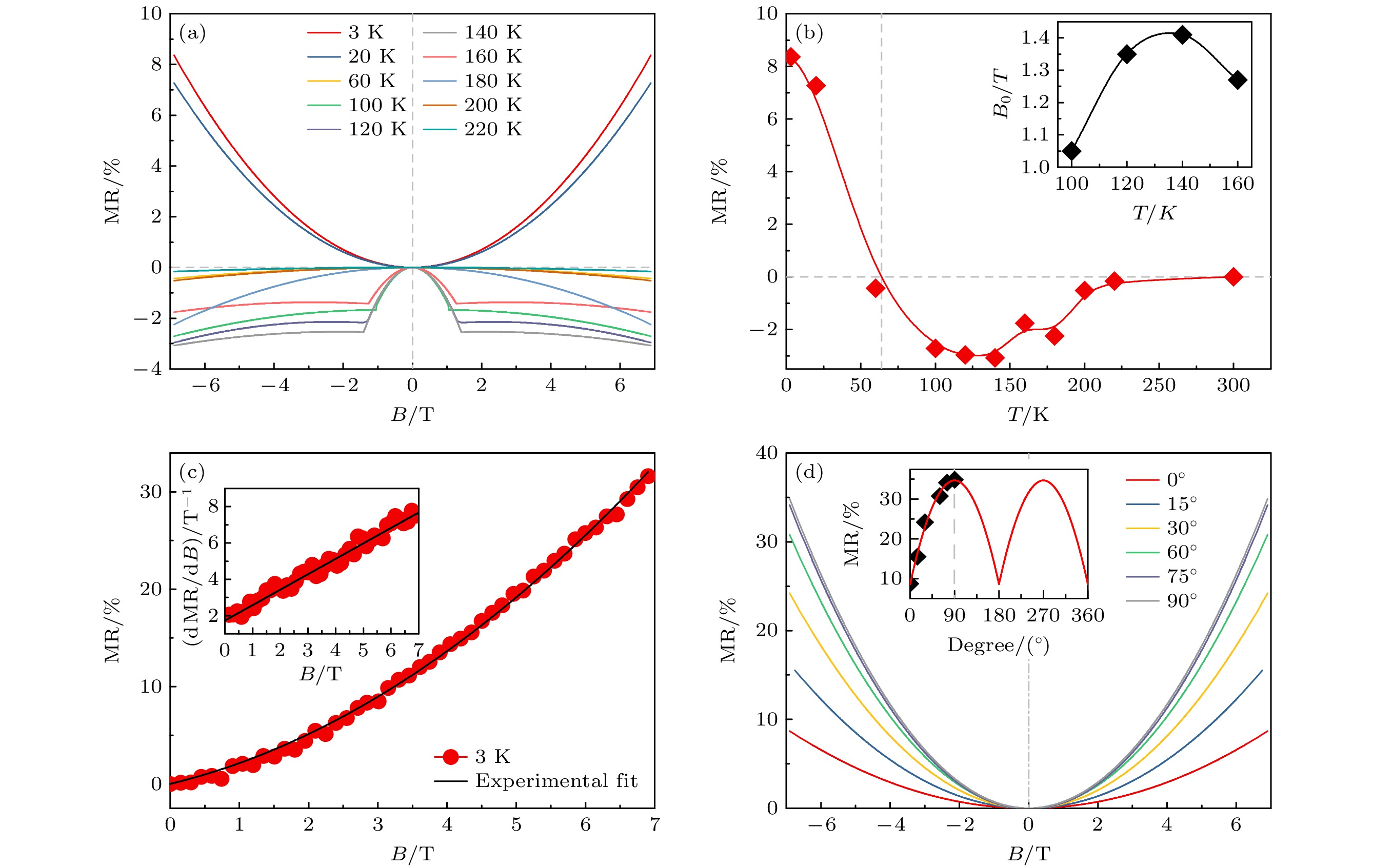
2shows a negative anomalous “convex” magnetoresistance in a large range of 100—160 K, and there exists a maximum critical magnetic field
B
0(1.41 T), near
T
A. The coercivity
H
Cdrops to almost zero at
T
Aand the Hall resistivity
ρ
yxalso reaches a maximum value of about 20 μΩ·cm. This may be due to the competition between ferromagnetic state and antiferromagnetic state to form non-trivial spin texture, resulting in the unique electrical transport behavior near
T
A. When the temperature rises to
T
C, the Co
3Sn
2S
2undergoes a ferromagnetic phase transition, with a saturation magnetization of
M
S,anomalous Hall conductivity
$ {\sigma }_{yx}^{\rm A} $
, and Hall resistivity
ρ
yxsharply decreasing. Large anomalous Hall conductance
$ {\sigma }_{yx}^{A} $
and anomalous Hall angle
$ {\sigma }_{yx}^{\rm A}/\sigma $
are also present in Co
3Sn
2S
2, with these values reaching 1.4×10
3Ω
−1·cm
−1and 18%, respectively. The magnetoresistance measurements reveal that the variation of the magnetoresistance with the magnetic field is due to the combination of linear and parabolic contributions. The change in magnetoresistance with the angle
θbetween the magnetic field
Band the current
Ihas a reversal symmetry with C
2xsymmetry, and the change in
θdoes not affect the contribution of its magnetoresistance source. In addition, positive magnetoresistance and negative magnetoresistance are found to be shifted at about 60 K. the shift in positive magnetoresistance and negative magnetoresistance are mainly attributed to the competing positive contribution of the Lorentz force to the magnetoresistance and the negative contribution of the spin disorder. The scattering mechanism of Co
3Sn
2S
2at low temperature is a combination of acoustic wave scattering and electron– phonon scattering. At 60–140 K, the enhancement of spin disorder causes enhanced electron–phonon scattering, resulting in a plateau characteristic of the Seebeck coefficient
S. The research shows that the special magnetic structure and electron spin of Co
3Sn
2S
2at low temperatures have an important influence on its electrothermal transport behavior.