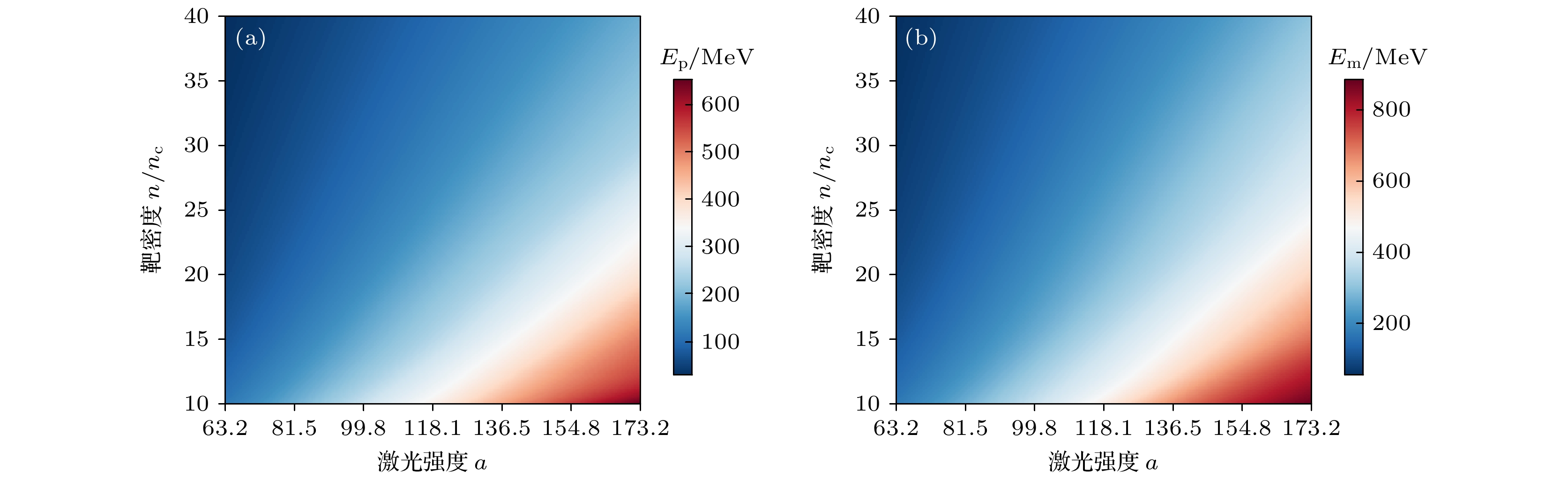
Laser-driven ion acceleration has potential applications in high energy density matter, ion beam-driven fast ignition, beam target neutron source, warm dense matter heating, etc. Ultrashort relativistic laser interacting with solid target can generate ion beam with several hundreds of MeV in energy, and the quality of the ion beam depends strongly on the interaction parameters between the laser and the target. Development in deep learning can provide new method of analyzing the relationship between parameters in physics system, which can significantly reduce the computational and experimental cost. In this paper, a continuous mapping model of ion peak and cutoff energy is developed based on a fully connected neural network (FCNN). In the model, the dataset is composed of nearly 400 sets of particle simulations of laser-driven solid targets, and the input parameters are laser intensity, target density, target thickness, and ion mass. The model uses sparse parameter values to obtain the analysis results in a large range of parameters, which greatly reduces the computational amount of multi-dimensional parameters sweeping in a wide range. Based on the results of this model mapping, the correction formula for the ion peak energy is obtained. Furthermore, the ratio of ion cutoff energy to peak energy of each set of particle simulation is calculated. Repeating the same training process of ion peak energy and cutoff energy, the continuous mapping model of energy ratio is developed. According to the energy ratio model mapping results, the quantitative description of the relationship between ion cutoff energy and peak energy is realized, and the fitting formula for the cutoff energy of the hole-boring radiation pressure acceleration (HB-RPA) mechanism is obtained, which can provide an important reference for designing the laser-driven ion acceleration experiments.