Search

Article

x

留言板

姓名
邮箱
手机号码
标题
留言内容
验证码

downloadPDF
Citation:

Feng Kai-Yuan, Shao Fu-Qiu, Jiang Xiang-Rui, Zou De-Bin, Hu Li-Xiang, Zhang Guo-Bo, Yang Xiao-Hu, Yin Yan, Ma Yan-Yun, Yu Tong-Pu
PDF
HTML
Get Citation
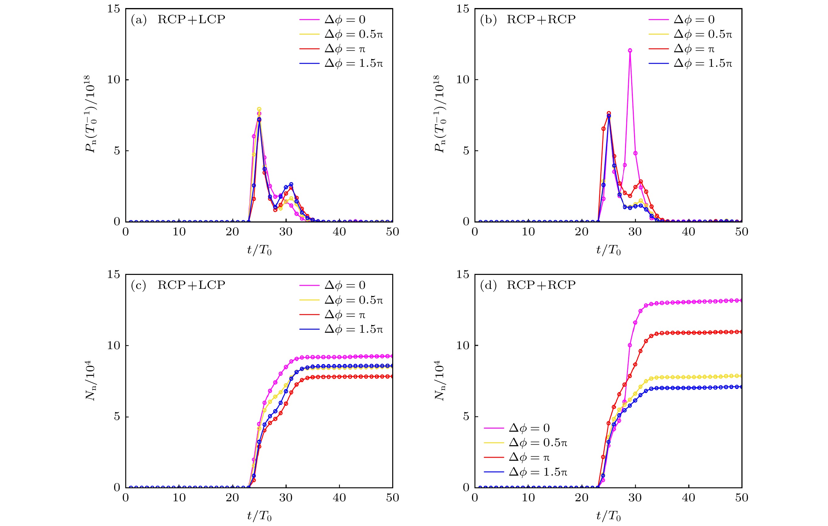
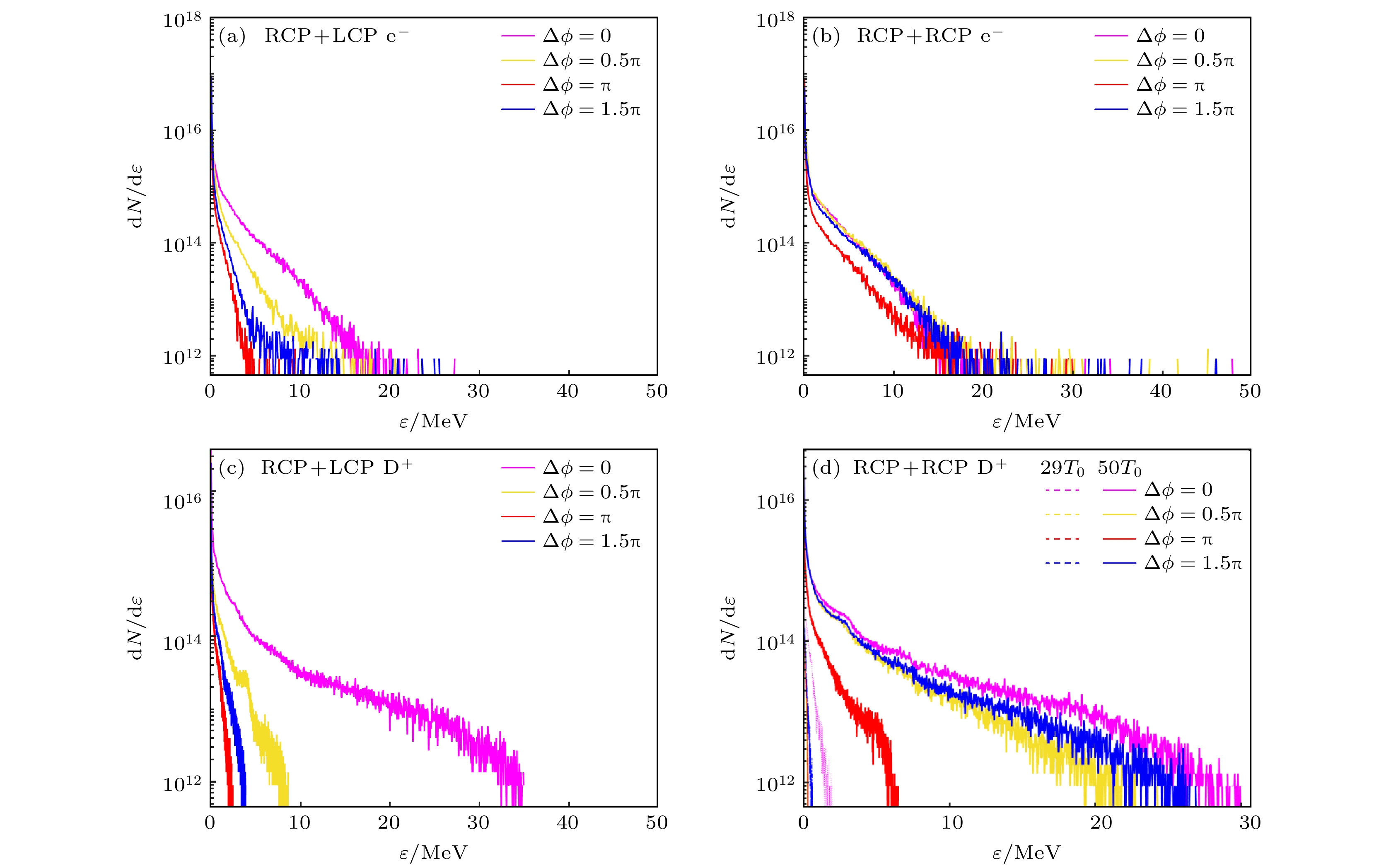
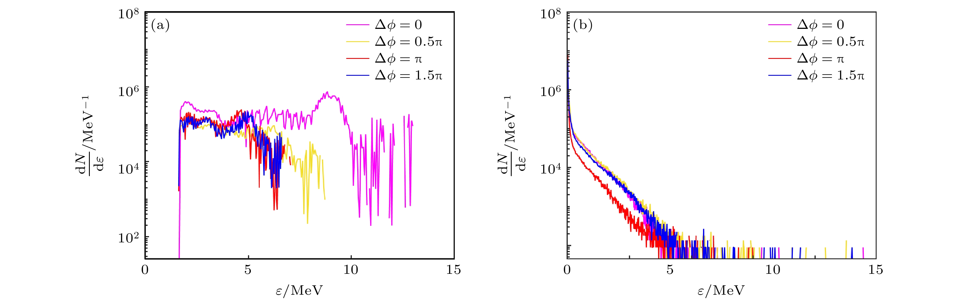
  • Neutron production via D(d, n) 3He nuclear reaction during the interaction of two counter-propagating circularly polarized laser pulses with ultra-thin deuterium target is investigated by particle-in-cell simulation and Monte Carlo method. It is found that the rotation direction and initial relative phase difference of laser electric field vector have important effects on deuterium foil compression and neutron characteristics. The reason is attributed to the net light pressure and the difference in transverse instability development. The highest neutron yield can be obtained by choosing two laser pulses with a relative phase difference of 0 and the same rotation direction of the electric field vector. When the relative phase difference is 0.5π or 1.5π and the rotation direction of electric field vector is different, the neutrons have a directional spatial distribution and the neutron yield only slightly decreases. For left-handed circularly polarized laser pulse and right-handed circularly polarized laser pulse, each with an intensity of 1.23 × 10 21W/cm 2, a pulse width of 33 fs and a relative phase difference of 0.5π, it is possible to produce a pulsed neutron source with a yield of 8.5 × 10 4n, production rate of 1.2 × 10 19n/s, pulse width of 23 fs and good forward direction as well as tunable spatial distribution. Comparing with photonuclear neutron source and beam target neutron source driven by ultraintense laser pulses, the duration of neutron source in our scheme decreases significantly, thereby possessing many potential applications such as neutron nuclear data measurement. Our scheme offers a possible method to obtain a compact neutron source with short pulse width, high production rate and good forward direction.
        Corresponding author:Zou De-Bin,debinzou@nudt.edu.cn
      • Funds:Project supported by the National Natural Science Foundation of China (Grant Nos. 12175310, 12275356, U22411281), the Natural Science Foundation of Hunan Province, China (Grant No. 2022JJ20042), the Youth Innovation Award of NUDT (Grant No. 20190102), and the Postgraduate Scientific Research Innovation Project of Hunan Province, China (Grant No. CX20210006).
      [1]

      [2]

      [3]

      [4]

      [5]

      [6]

      [7]

      [8]

      [9]

      [10]

      [11]

      [12]

      [13]

      [14]

      [15]

      [16]

      [17]

      [18]

      [19]

      [20]

      [21]

      [22]

      [23]

      [24]

      [25]

      [26]

      [27]

      [28]

      [29]

      [30]

      [31]

      [32]

      [33]

      [34]

      [35]

      [36]

      [37]

      [38]

      [39]

      [40]

      [41]

      [42]

      [43]

      [44]

      [45]

      [46]

      [47]

    • [1]

      [2]

      [3]

      [4]

      [5]

      [6]

      [7]

      [8]

      [9]

      [10]

      [11]

      [12]

      [13]

      [14]

      [15]

      [16]

      [17]

      [18]

      [19]

      [20]

      [21]

      [22]

      [23]

      [24]

      [25]

      [26]

      [27]

      [28]

      [29]

      [30]

      [31]

      [32]

      [33]

      [34]

      [35]

      [36]

      [37]

      [38]

      [39]

      [40]

      [41]

      [42]

      [43]

      [44]

      [45]

      [46]

      [47]

    • [1] Luo Hao-Tian, Zhang Qi-Wei, Luan Guang-Yuan, Wang Xiao-Yu, Zou Chong, Ren Jie, Ruan Xi-Chao, He Guo-Zhu, Bao Jie, Sun Qi, Huang Han-Xiong, Wang Zhao-Hui, Wu Hong-Yi, Gu Min-Hao, Yu Tao, Xie Li-Kun, Chen Yong-Hao, An Qi, Bai Huai-Yong, Bao Yu, Cao Ping, Chen Hao-Lei, Chen Qi-Ping, Chen Yu-Kai, Chen Zhen, Cui Zeng-Qi, Fan Rui-Rui, Feng Chang-Qing, Gao Ke-Qing, Han Chang-Cai, Han Zi-Jie, He Yong-Cheng, Hong Yang, Huang Wei-Ling, Huang Xi-Ru, Ji Xiao-Lu, Ji Xu-Yang, Jiang Wei, Jiang Hao-Yu, Jiang Zhi-Jie, Jing Han-Tao, Kang Ling, Kang Ming-Tao, Li Bo, Li Chao, Li Jia-Wen, Li Lun, Li Qiang, Li Xiao, Li Yang, Liu Rong, Liu Shu-Bin, Liu Xing-Yan, Mu Qi-Li, Ning Chang-Jun, Qi Bin-Bin, Ren Zhi-Zhou, Song Ying-Peng, Song Zhao-Hui, Sun Hong, Sun Kang, Sun Xiao-Yang, Sun Zhi-Jia, Tan Zhi-Xin, Tang Hong-Qing, Tang Jing-Yu, Tang Xin-Yi, Tian Bin-Bin, Wang Li-Jiao, Wang Peng-Cheng, Wang Qi, Wang Tao-Feng, Wen Jie, Wen Zhong-Wei, Wu Qing-Biao, Wu Xiao-Guang, Wu Xuan, Yang Yi-Wei, Yi Han, Yu Li, Yu Yong-Ji, Zhang Guo-Hui, Zhang Lin-Hao, Zhang Xian-Peng, Zhang Yu-Liang, Zhang Zhi-Yong, Zhao Yu-Bin, Zhou Lu-Ping, Zhou Zu-Ying, Zhu Dan-Yang, Zhu Ke-Jun, Zhu Peng, Zhu Xing-Hua.Neutron capture reaction cross-section data processing and resonance parameter analysis of197Au based on white light neutron source. Acta Physica Sinica, 2024, 73(7): 072801.doi:10.7498/aps.73.20231957
      [2] Zhang Jiang-Lin, Jiang Bing, Chen Yong-Hao, Guo Zi-An, Wang Xiao-He, Jiang Wei, Yi Han, Han Jian-Long, Hu Ji-Feng, Tang Jing-Yu, Chen Jin-Gen, Cai Xiang-Zhou.Measurement of total neutron cross section of natural lithium at China Spallation Neutron Source Back-n facility. Acta Physica Sinica, 2022, 71(5): 052901.doi:10.7498/aps.71.20211646
      [3] Jiang Wei, Jiang Hao-Yu, Yi Han, Fan Rui-Rui, Cui Zeng-Qi, Sun Kang, Zhang Guo-Hui, Tang Jing-Yu, Sun Zhi-Jia, Ning Chang-Jun, Gao Ke-Qing, An Qi, Bai Huai-Yong, Bao Jie, Bao Yu, Cao Ping, Chen Hao-Lei, Chen Qi-Ping, Chen Yong-Hao, Chen Yu-Kai, Chen Zhen, Feng Chang-Qing, Gu Min-Hao, Han Chang-Cai, Han Zi-Jie, He Guo-Zhu, He Yong-Cheng, Hong Yang, Huang Han-Xiong, Huang Wei-Ling, Huang Xi-Ru, Ji Xiao-Lu, Ji Xu-Yang, Jiang Zhi-Jie, Jing Han-Tao, Kang Ling, Kang Ming-Tao, Li Bo, Li Chao, Li Jia-Wen, Li Lun, Li Qiang, Li Xiao, Li Yang, Liu Rong, Liu Shu-Bin, Liu Xing-Yan, Luan Guang-Yuan, Mu Qi-Li, Qi Bin-Bin, Ren Jie, Ren Zhi-Zhou, Ruan Xi-Chao, Song Zhao-Hui, Song Ying-Peng, Sun Hong, Sun Xiao-Yang, Tan Zhi-Xin, Tang Hong-Qing, Tang Xin-Yi, Tian Bin-Bin, Wang Li-Jiao, Wang Peng-Cheng, Wang Qi, Wang Tao-Feng, Wang Zhao-Hui, Wen Jie, Wen Zhong-Wei, Wu Qing-Biao, Wu Xiao-Guang, Wu Xuan, Xie Li-Kun, Yang Yi-Wei, Yu Li, Yu Tao, Yu Yong-Ji, Zhang Lin-Hao, Zhang Qi-Wei, Zhang Xian-Peng, Zhang Yu-Liang, Zhang Zhi-Yong, Zhao Yu-Bin, Zhou Lu-Ping, Zhou Zu-Ying, Zhu Dan-Yang, Zhu Ke-Jun, Zhu Peng, The CSNS Back-n Collaboration .Detector calibration based on secondary protons of Back-n white neutron source. Acta Physica Sinica, 2021, 70(8): 082901.doi:10.7498/aps.70.20201823
      [4] Zhang Qi-Wei, Luan Guang-Yuan, Ren Jie, Ruan Xi-Chao, He Guo-Zhu, Bao Jie, Sun Qi, Huang Han-Xiong, Wang Zhao-Hui, Gu Min-Hao, Yu Tao, Xie Li-Kun, Chen Yong-Hao, An Qi, Bai Huai-Yong, Bao Yu, Cao Ping, Chen Hao-Lei, Chen Qi-Ping, Chen Yu-Kai, Chen Zhen, Cui Zeng-Qi, Fan Rui-Rui, Feng Chang-Qing, Gao Ke-Qing, Han Chang-Cai, Han Zi-Jie, He Yong-Cheng, Hong Yang, Huang Wei-Ling, Huang Xi-Ru, Ji Xiao-Lu, Ji Xu-Yang, Jiang Wei, Jiang Hao-Yu, Jiang Zhi-Jie, Jing Han-Tao, Kang Ling, Kang Ming-Tao, Li Bo, Li Chao, Li Jia-Wen, Li Lun, Li Qiang, Li Xiao, Li Yang, Liu Rong, Liu Shu-Bin, Liu Xing-Yan, Mu Qi-Li, Ning Chang-Jun, Qi Bin-Bin, Ren Zhi-Zhou, Song Ying-Peng, Song Zhao-Hui, Sun Hong, Sun Kang, Sun Xiao-Yang, Sun Zhi-Jia, Tan Zhi-Xin, Tang Hong-Qing, Tang Jing-Yu, Tang Xin-Yi, Tian Bin-Bin, Wang Li-Jiao, Wang Peng-Cheng, Wang Qi, Wang Tao-Feng, Wen Jie, Wen Zhong-Wei, Wu Qing-Biao, Wu Xiao-Guang, Wu Xuan, Yang Yi-Wei, Yi Han, Yu Li, Yu Yong-Ji, Zhang Guo-Hui, Zhang Lin-Hao, Zhang Xian-Peng, Zhang Yu-Liang, Zhang Zhi-Yong, Zhao Yu-Bin, Zhou Lu-Ping, Zhou Zu-Ying, Zhu Dan-Yang, Zhu Ke-Jun, Zhu Peng, Zhu Xing-Hua.Cross section measurement of neutron capture reaction based on back-streaming white neutron source at China spallation neutron source. Acta Physica Sinica, 2021, 70(22): 222801.doi:10.7498/aps.70.20210742
      [5] Ren Jie, Ruan Xi-Chao, Chen Yong-Hao, Jiang Wei, Bao Jie, Luan Guang-Yuan, Zhang Qi-Wei, Huang Han-Xiong, Wang Zhao-Hui, An Qi, Bai Huai-Yong, Bao Yu, Cao Ping, Chen Hao-Lei, Chen Qi-Ping, Chen Yu-Kai, Chen Zhen, Cui Zeng-Qi, Fan Rui-Rui, Feng Chang-Qing, Gao Ke-Qing, Gu Min-Hao, Han Chang-Cai, Han Zi-Jie, He Guo-Zhu, He Yong-Cheng, Hong Yang, Huang Wei-Ling, Huang Xi-Ru, Ji Xiao-Lu, Ji Xu-Yang, Jiang Hao-Yu, Jiang Zhi-Jie, Jing Han-Tao, Kang Ling, Kang Ming-Tao, Li Bo, Li Chao, Li Jia-Wen, Li Lun, Li Qiang, Li Xiao, Li Yang, Liu Rong, Liu Shu-Bin, Liu Xing-Yan, Mu Qi-Li, Ning Chang-Jun, Qi Bin-Bin, Ren Zhi-Zhou, Song Ying-Peng, Song Zhao-Hui, Sun Hong, Sun Kang, Sun Xiao-Yang, Sun Zhi-Jia, Tan Zhi-Xin, Tang Hong-Qing, Tang Jing-Yu, Tang Xin-Yi, Tian Bin-Bin, Wang Li-Jiao, Wang Peng-Cheng, Wang Qi, Wang Tao-Feng, Wen Jie, Wen Zhong-Wei, Wu Qing-Biao, Wu Xiao-Guang, Wu Xuan, Xie Li-Kun, Yang Yi-Wei, Yi Han, Yu Li, Yu Tao, Yu Yong-Ji, Zhang Guo-Hui, Zhang Lin-Hao, Zhang Xian-Peng, Zhang Yu-Liang, Zhang Zhi-Yong, Zhao Yu-Bin, Zhou Lu-Ping, Zhou Zu-Ying, Zhu Dan-Yang, Zhu Ke-Jun, Zhu Peng.In-beam γ-rays of back-streaming white neutron source at China Spallation Neutron Source. Acta Physica Sinica, 2020, 69(17): 172901.doi:10.7498/aps.69.20200718
      [6] Wang Xun, Zhang Feng-Qi, Chen Wei, Guo Xiao-Qiang, Ding Li-Li, Luo Yin-Hong.Application and evaluation of Chinese spallation neutron source in single-event effects testing. Acta Physica Sinica, 2019, 68(5): 052901.doi:10.7498/aps.68.20181843
      [7] Hu Zhi-Liang, Yang Wei-Tao, Li Yong-Hong, Li Yang, He Chao-Hui, Wang Song-Lin, Zhou Bin, Yu Quan-Zhi, He Huan, Xie Fei, Bai Yu-Rong, Liang Tian-Jiao.Atmospheric neutron single event effect in 65 nm microcontroller units by using CSNS-BL09. Acta Physica Sinica, 2019, 68(23): 238502.doi:10.7498/aps.68.20191196
      [8] Bao Jie, Chen Yong-Hao, Zhang Xian-Peng, Luan Guang-Yuan, Ren Jie, Wang Qi, Ruan Xi-Chao, Zhang Kai, An Qi, Bai Huai-Yong, Cao Ping, Chen Qi-Ping, Cheng Pin-Jing, Cui Zeng-Qi, Fan Rui-Rui, Feng Chang-Qing, Gu Min-Hao, Guo Feng-Qin, Han Chang-Cai, Han Zi-Jie, He Guo-Zhu, He Yong-Cheng, He Yue-Feng, Huang Han-Xiong, Huang Wei-Ling, Huang Xi-Ru, Ji Xiao-Lu, Ji Xu-Yang, Jiang Hao-Yu, Jiang Wei, Jing Han-Tao, Kang Ling, Kang Ming-Tao, Lan Chang-Lin, Li Bo, Li Lun, Li Qiang, Li Xiao, Li Yang, Li Yang, Liu Rong, Liu Shu-Bin, Liu Xing-Yan, Ma Ying-Lin, Ning Chang-Jun, Nie Yang-Bo, Qi Bin-Bin, Song Zhao-Hui, Sun Hong, Sun Xiao-Yang, Sun Zhi-Jia, Tan Zhi-Xin, Tang Hong-Qing, Tang Jing-Yu, Wang Peng-Cheng, Wang Tao-Feng, Wang Yan-Feng, Wang Zhao-Hui, Wang Zheng, Wen Jie, Wen Zhong-Wei, Wu Qing-Biao, Wu Xiao-Guang, Wu Xuan, Xie Li-Kun, Yang Yi-Wei, Yang Yi, Yi Han, Yu Li, Yu Tao, Yu Yong-Ji, Zhang Guo-Hui, Zhang Jing, Zhang Lin-Hao, Zhang Li-Ying, Zhang Qing-Min, Zhang Qi-Wei, Zhang Yu-Liang, Zhang Zhi-Yong, Zhao Ying-Tan, Zhou Liang, Zhou Zu-Ying, Zhu Dan-Yang, Zhu Ke-Jun, Zhu Peng.Erratum: Experimental result of back-streaming white neutron beam characterization at Chinese spallation neutron source. Acta Physica Sinica, 2019, 68(10): 109901.doi:10.7498/aps.68.109901
      [9] Bao Jie, Chen Yong-Hao, Zhang Xian-Peng, Luan Guang-Yuan, Ren Jie, Wang Qi, Ruan Xi-Chao, Zhang Kai, An Qi, Bai Huai-Yong, Cao Ping, Chen Qi-Ping, Cheng Pin-Jing, Cui Zeng-Qi, Fan Rui-Rui, Feng Chang-Qing, Gu Min-Hao, Guo Feng-Qin, Han Chang-Cai, Han Zi-Jie, He Guo-Zhu, He Yong-Cheng, He Yue-Feng, Huang Han-Xiong, Huang Wei-Ling, Huang Xi-Ru, Ji Xiao-Lu, Ji Xu-Yang, Jiang Hao-Yu, Jiang Wei, Jing Han-Tao, Kang Ling, Kang Ming-Tao, Lan Chang-Lin, Li Bo, Li Lun, Li Qiang, Li Xiao, Li Yang, Li Yang, Liu Rong, Liu Shu-Bin, Liu Xing-Yan, Ma Ying-Lin, Ning Chang-Jun, Nie Yang-Bo, Qi Bin-Bin, Song Zhao-Hui, Sun Hong, Sun Xiao-Yang, Sun Zhi-Jia, Tan Zhi-Xin, Tang Hong-Qing, Tang Jing-Yu, Wang Peng-Cheng, Wang Tao-Feng, Wang Yan-Feng, Wang Zhao-Hui, Wang Zheng, Wen Jie, Wen Zhong-Wei, Wu Qing-Biao, Wu Xiao-Guang, Wu Xuan, Xie Li-Kun, Yang Yi-Wei, Yang Yi, Yi Han, Yu Li, Yu Tao, Yu Yong-Ji, Zhang Guo-Hui, Zhang Jing, Zhang Lin-Hao, Zhang Li-Ying, Zhang Qing-Min, Zhang Qi-Wei, Zhang Yu-Liang, Zhang Zhi-Yong, Zhao Ying-Tan, Zhou Liang, Zhou Zu-Ying, Zhu Dan-Yang, Zhu Ke-Jun, Zhu Peng.Experimental result of back-streaming white neutron beam characterization at Chinese spallation neutron source. Acta Physica Sinica, 2019, 68(8): 080101.doi:10.7498/aps.68.20182191
      [10] Dai Zheng-Liang, Cui Wei-Jia, Wang Da-Ming, Zhang Yan-Kui.Decoupled two-dimensional direction of arrival estimation of single distributed source by vectoring differential phases. Acta Physica Sinica, 2018, 67(7): 070702.doi:10.7498/aps.67.20172154
      [11] Li Wen-Hui, Zhang Jie-Qiu, Qu Shao-Bo, Shen Yang, Yu Ji-Bao, Fan Ya, Zhang An-Xue.A circular polarization antenna designed based on the polarization conversion metasurface. Acta Physica Sinica, 2016, 65(2): 024101.doi:10.7498/aps.65.024101
      [12] Shen Fei, Liang Tai-Ran, Yin Wen, Yu Quan-Zhi, Zuo Tai-Sen, Yao Ze-En, Zhu Tao, Liang Tian-Jiao.Shielding design of the multi-purpose reflectometer of China spallation neutron source. Acta Physica Sinica, 2014, 63(15): 152801.doi:10.7498/aps.63.152801
      [13] Huang Xiang-Dong, Meng Tian-Wei, Ding Dao-Xian, Wang Zhao-Hua.A novel phase difference frequency estimator based on forward and backward sub-segmenting. Acta Physica Sinica, 2014, 63(21): 214304.doi:10.7498/aps.63.214304
      [14] Wang Sheng, Zou Yu-Bin, Wen Wei-Wei, Li Hang, Liu Shu-Quan, Wang Hu, Lu Yuan-Rong, Tang Guo-You, Guo Zhi-Yu.Study of coded source neutron imaging based on a compact accelerator. Acta Physica Sinica, 2013, 62(12): 122801.doi:10.7498/aps.62.122801
      [15] Luo Qun, Huang Lin-Hai, Gu Nai-Ting, Li Fei, Rao Chang-Hui.Experimental study on phase diversity wavefront sensing technology in piston error detection. Acta Physica Sinica, 2012, 61(6): 069501.doi:10.7498/aps.61.069501
      [16] Li Fei, Rao Chang-Hui.High resolution imaging technique based on phase diversity hybrid method. Acta Physica Sinica, 2012, 61(2): 029502.doi:10.7498/aps.61.029502
      [17] Li Fei.Phase diversity image restoration. Acta Physica Sinica, 2012, 61(23): 230203.doi:10.7498/aps.61.230203
      [18] Yu Quan-Zhi, Yin Wen, Liang Tian-Jiao.Calculation and analysis of DPA in the main components of CSNS target station. Acta Physica Sinica, 2011, 60(5): 052501.doi:10.7498/aps.60.052501
      [19] Wu Guo-Hua, Guo Hong, Liu Ming-Wei, Deng Dong-Mei, Liu Shi-Xiong.Comparison of wakefield and relativistic effects on the self-phase modulation and frequency shift of intense laser pulse propagation. Acta Physica Sinica, 2005, 54(7): 3213-3220.doi:10.7498/aps.54.3213
      [20] Ding Hai-Bing, Pang Wen-Ning, Liu Yi-Bao, Shang Ren-Cheng.Polarization direction modulation for spin-polarized electrons with liquid crystal variable retarder. Acta Physica Sinica, 2005, 54(9): 4097-4100.doi:10.7498/aps.54.4097
    Metrics
    • Abstract views:2902
    • PDF Downloads:110
    • Cited By:0
    Publishing process
    • Received Date:30 April 2023
    • Accepted Date:09 June 2023
    • Available Online:29 June 2023
    • Published Online:20 September 2023

      返回文章
      返回
        Baidu
        map