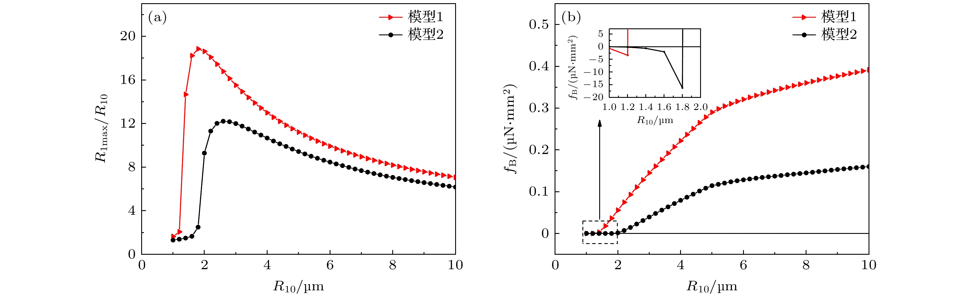
In this paper, the interaction between the two bubbles with the effects of mass transfer, heat transfer and diffusion was investigated under ultrasonic action by using the model combining the modified Keller-Miksis equation with Noble-Abel-Stiffend-Gas equation of state. The maximum normalized radius of cavitation the bubbles and the secondary Bjerknes force (coefficient) of the interaction between the bubbles are calculated respectively, and compared with the maximum normalized radius of the bubbles and the secondary Bjerknes force (coefficient) in the two bubbles system without the effects of mass transfer, heat transfer and diffusion given by Mettin et al [Mettin R, Akhatov I, Parlitz U, Ohl C D, Lauterborn W 1997
Phys. Rev. E
562924]. The results show that the maximum normalized radius of the bubbles and the secondary Bjerknes forces between the bubbles are larger in the two bubbles system with the effects of mass transfer, heat transfer and diffusion than in the two bubbles system without the effects of mass transfer, heat transfer and diffusion. The main reason for this result is that the effects of mass transfer, heat transfer and diffusion can increase the amount of gas contained in the cavitation bubble. With the increase of the initial radius of a certain the bubble in the two bubbles system, the secondary Bjerknes force will increase and the difference between the secondary Bjerknes forces in the two cases will gradually increase. With the increase of the driving sound pressure amplitude, the secondary Bjerknes force will also increase and the difference between the secondary Bjerknes forces in the two cases will also gradually increase. With the increase of the driving frequency, the secondary Bjerknes force will decrease and the difference between the secondary Bjerknes forces in the two cases will also gradually decrease. Therefore, the effects of mass transfer, heat transfer and diffusion have a significant effect on the secondary Bjerknes force of the interaction between cavitation the bubbles, which is an important factor that cannot be ignored. The research results of this article have positive significance for further understanding of the secondary Bjerknes force of the interaction between the two bubbles under ultrasonic action.