-
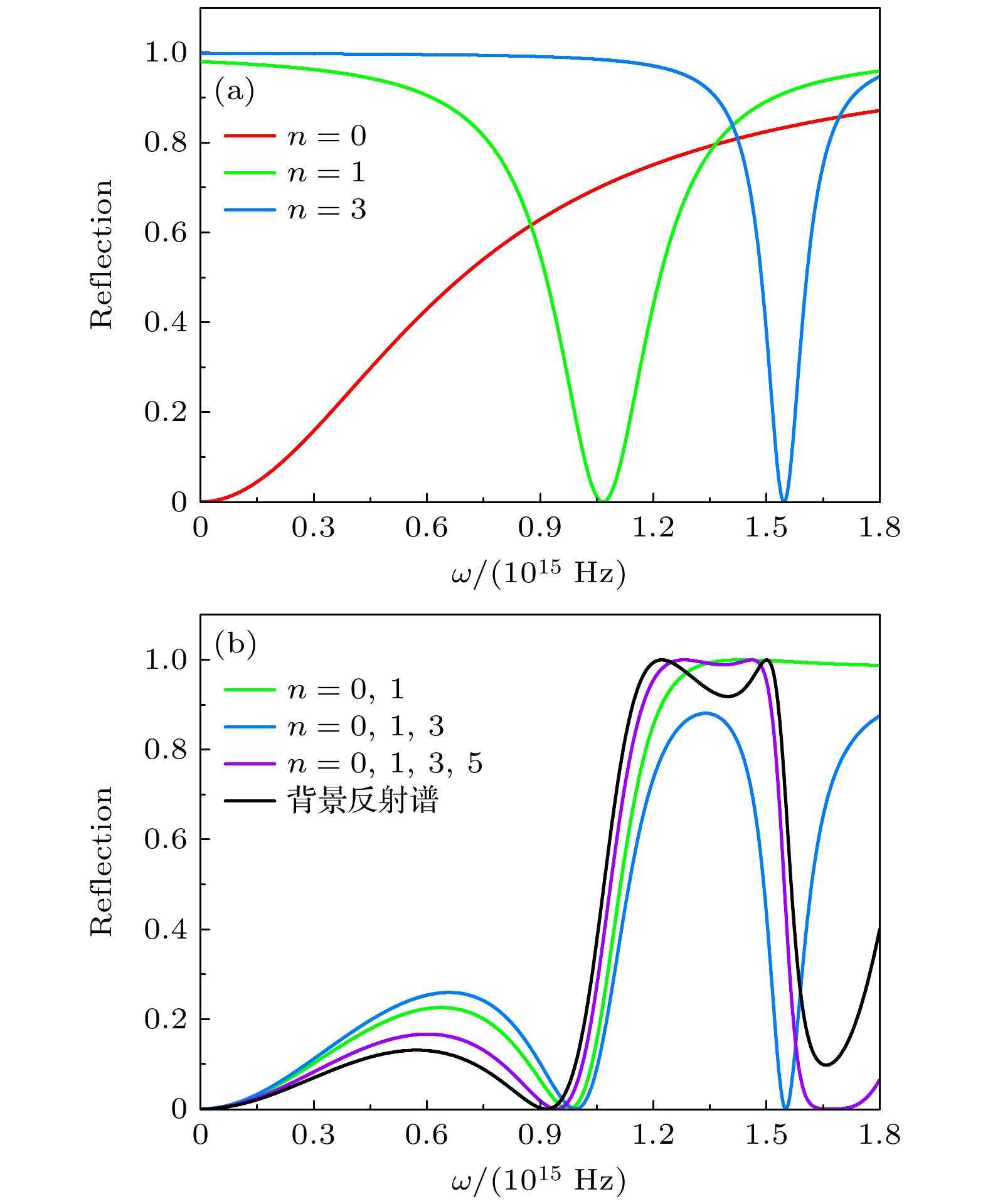
All-dielectric metamaterial broadband reflectors have the advantages of low loss, high reflection efficiency, and compact structure. An in-depth understanding of the formation mechanism of their reflection bands is of great significance in optimizing metamaterial structure and performance, and in further designing novel photonic devices as well. In this work, two all-dielectric metamaterial broadband reflectors are constructed by using discrete silicon nanopillar array and silicon nanopillar array connected with a silicon sublayer. The quasi-normal modes of the metamaterial reflectors are solved. Combining the quasi-normal modes with the scattering matrix theory, we obtain the fitted reflection spectra of the metamaterial, and then reveal that the zero-frequency quasi-normal mode has a substantial influence on the accuracy of the fitting results. A dispersion relation analysis method is proposed to accurately solve the zero-frequency quasi-normal mode. Furthermore, the fitted resonance reflection spectrum and background reflection spectrum are obtained by using high- Q-value quasi-normal mode and low- Q-value quasi-normal mode, respectively. Our results show that the broadband reflection of the considered metamaterial reflectors should be attributed to the background reflection induced by the low- Qquasi-normal modes. The research method proposed in this paper can also be used for discussing quasi bound states in the continuum, Mie resonances, and other resonance phenomena, which provides a new way for interpreting the spectral characteristics of metamaterials.
[1] [2] [3] [4] [5] [6] [7] [8] [9] [10] [11] [12] [13] [14] [15] [16] [17] [18] [19] [20] [21] [22] [23] [24] [25] [26] [27] -
序号
$ n $复本征频率
ωn/Hz品质因子
Qn远场复
振幅比σn0 0 – 6.91×1014i 0 1 1 1.07×1015– 1.51×1014i 3.53 –1 2 1.45×1015– 3.17×1013i 22.8 1 3 1.55×1015– 5.98×1013i 12.9 1 4 1.74×1015– 2.66×1013i 32.8 –1 5 1.81×1015– 2.67×1014i 3.38 –1 6 1.92×1015– 2.13×1011i 4510.0 –1 7 2.17×1015– 1.88×1014i 5.75 –1 8 2.17×1015– 3.39×1013i 32.1 –1 9 2.18×1015– 4.21×1011i 2580.0 1 10 2.19×1015– 1.17×1012i 932.0 1 11 2.3×1015– 4.11×1013i 28.0 1 序号
n复本征频率
ωn/Hz品质
因子Qn远场复
振幅比σn0 0–1.68×1014i 0 0.857 1 6.46×1014–2.14×1014i 1.51 –0.38+0.0356i 2 1.03×1015–1.2×1013i 42.9 0.754+0.377i 3 1.09×1015–8.53×1013i 6.36 0.601–0.108i 4 1.13×1015–4.84×1013i 11.7 0.12–0.421i 5 1.35×1015–2.52×1013i 26.8 3.79–30.3i 6 1.36×1015–1.03×1013i 65.6 –11.8–26.7i 7 1.44×1015–5.23×1013i 13.8 0.128–0.072i 8 1.49×1015–4.83×1012i 155.0 –0.96–0.188i 9 1.55×1015–3.72×1013i 20.9 0.133+0.0279i 10 1.62×1015–3.9×1012i 207.0 0.963+1.04i 11 1.79×1015–7.3×1012i 123.0 0.0814+0.18i 12 1.82×1015–2.02×1013i 45.2 0.909+0.429i 13 1.85×1015–3.78×1012i 245.0 0.911+0.725i 14 1.87×1015–3.9×1012i 239.0 –0.536+1.57i 15 1.92×1015–4.41×1011i 2180.0 –0.425–0.198i 16 1.97×1015–6.83×1012i 144.0 –0.182–0.306i 17 2.02×1015–4.37×1011i 2310.0 –0.494–0.302i 18 2.03×1015–5.79×1011i 1750.0 –0.617–0.195i 19 2.04×1015–8.33×1011i 1220.0 –0.38–0.415i 20 2.07×1015–2.8×1011i 36.9 –0.634–0.121i -
[1] [2] [3] [4] [5] [6] [7] [8] [9] [10] [11] [12] [13] [14] [15] [16] [17] [18] [19] [20] [21] [22] [23] [24] [25] [26] [27]
Catalog
Metrics
- Abstract views:2002
- PDF Downloads:66
- Cited By:0












DownLoad:





