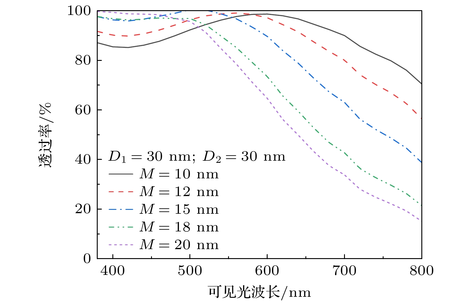
Multi-spectral compatible stealth materials have become an imperative development trend, especially visible and infrared compatible stealth materials have become the most important in the field of optoelectronic stealth technology. However, infrared stealth and visible stealth have different requirements for spectral response, which makes it difficult to reconcile the design of functional coupling materials. Therefore, it is very important to develop selective control technology of optical characteristics. A visible and infrared compatible stealth superstructure thin film is proposed based on the FTO/Ag/FTO stacked film structure. A collaborative design method for high visible transmission and low infrared radiation is established, and the mechanism of microstructure characteristics affecting visible transmission and infrared reflection spectra is explained. The infrared stealth thin film with high transparency is optimized, and its compatibility stealth performance is tested and characterized by visible light transmission spectrum, infrared reflection spectrum, and thermal imaging characterization technology. It is shown that visible transmission depends on the coupling and matching effect between the semiconductor dielectric layer and the metal layer, while infrared radiation suppression mainly relies on the metal layer. As the thickness of FTO film increases, the visible transmission peak undergoes a red shift, leading the transmission spectrum curve to flatten, the average transmission first increases and then gradually decreases. As the thickness of Ag thin film layer increases, the transmission peak of visible light undergoes a blue shift, causing the transmission spectrum curve to tend to a high-frequency transmission state, narrowing the frequency domain of visible light transmission and gradually reducing the average transmittance decreases gradually. At the same time, the infrared reflectance increases with the Ag film thickness increasing, but the change of amplitude significantly decreasing when the Ag film thickness is greater than 18 nm. When the thickness of the optimized FTO/Ag/FTO film structure is 40/12/40 nm, it has a high level of background perspective reproduction and high ability to suppress high-temperature infrared radiation. The average transmittance of 0.38–0.78 μm visible light band is 82.52%, and the average reflectance of 3–14 μm mid-far infrared band is 81.46%. The radiation temperature of the sample is 49 ℃ lower in the mid infrared range and 75.8 ℃ lower in far infrared range than that of the quartz sheet at 150 ℃, respectively. The new stealth film can be attached to the camouflage coating surface of special vehicle to achieve visible and infrared compatible stealth, and can be used for cockpit windows to ensure thermal insulation, temperature control, and infrared stealth without affecting the field of view. This study can provide a new approach for designing and utilizing the visible and infrared compatible stealth materials.