Soliton, which can travel over long distance without attenuation or shape change due to the balance of the interplay between dispersion (or diffraction) and nonlinearity in nonlinear medium, becomes a good information carrier in quantum information processing and transmission. Up to now, the study on the optical solitons mainly focuses on ultra-cold atomic electromagnetic induction transparency (EIT) medium. This is mainly because ultra-cold atomic system can generate strong nonlinear effect under low light excitation. However, for the practical application, it is a big challenge to control accurately the optical soliton dynamics in the atomic EIT medium due to its low temperature (which approaches to absolute zero) and rarefaction. Fortunately, with the maturity of semiconductor quantum production technology, quantum dots have extensive application prospect in quantum information processing and transmission. So, in the paper, we study the optical soliton dynamics in a four-level asymmetric array-type three-quantum-dot EIT medium.
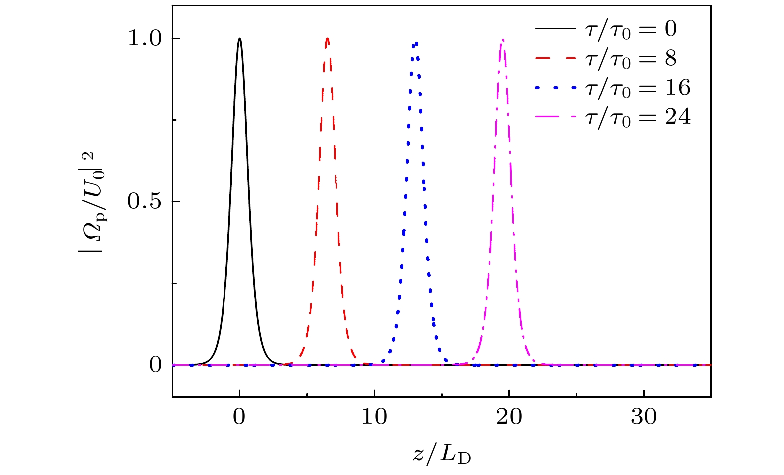
Based on the current experimental results, we first propose a four-level asymmetric array-type three-quantum-dot EIT model. Subsequently, by using amplitude variable approach combined with multi-scale method, we study analytically the propagation of a probe pulse in this system. It is shown that when one (the another) inter-dot tunneling coupling is turned on (off), only a single transparency window appears in the center range of the probe field detuning. Only if two inter-dot tunneling couplings are turned on will two transparent windows be distributed on both sides of the central region of the probe field detuning. And the width of the single transparent window or the widths of two transparent windows become wider with the strength of the inter-dot tunneling coupling increasing. For the nonlinear case, by choosing appropriate parameters in the area of the transparency window, the stable propagation of soliton can be realized. Interestingly, we find that the strength of the inter-dot tunneling coupling has an important effect on the soliton dynamic behaviors. In the case that one (the another) inter-dot tunneling coupling is turned on (off), with the increase of strength of the inter-dot tunneling coupling, the velocity of the soliton exhibits a trend of first increasing and then decreasing, and the amplitude of the soliton presents a increasing trend for ever. For the case that two inter-dot tunneling couplings are turned on, with the strength of the two inter-dot tunneling coupling increasing, the velocity of the soliton presents a decreasing trend for ever, while the amplitude of the soliton exhibits a trend of first decreasing and then increasing. Thus, the amplitude modulation effect of optical soliton can be realized in semiconductor quantum dot devices.