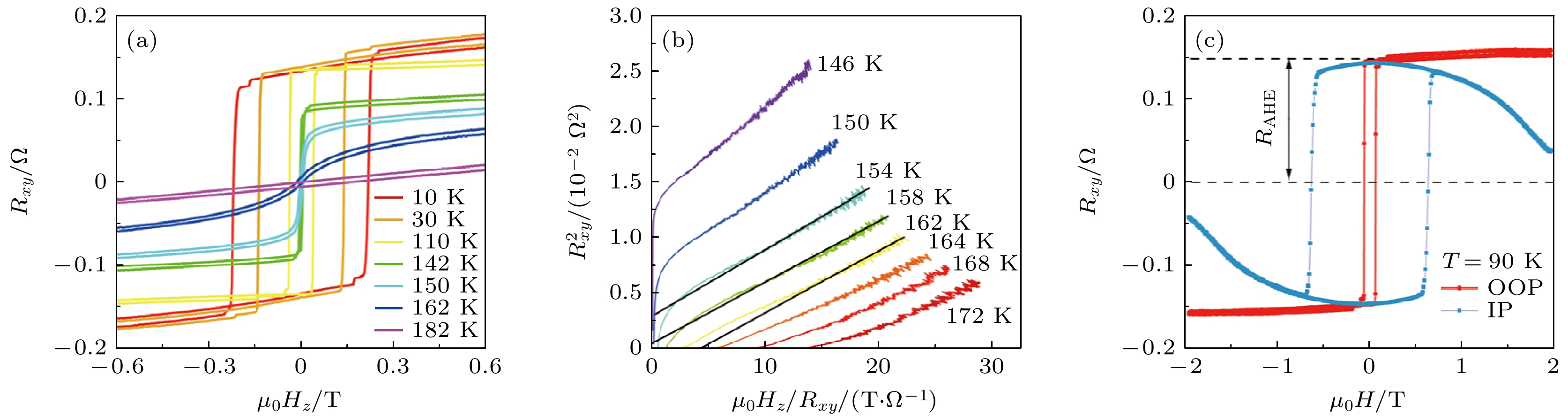
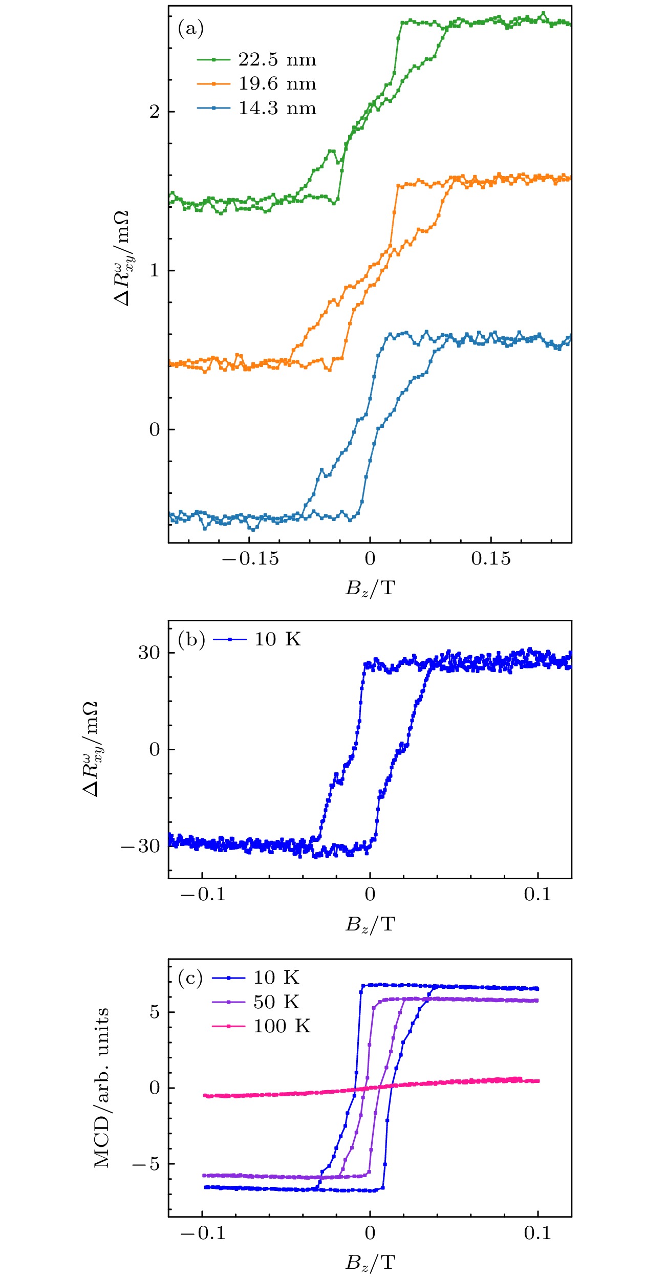
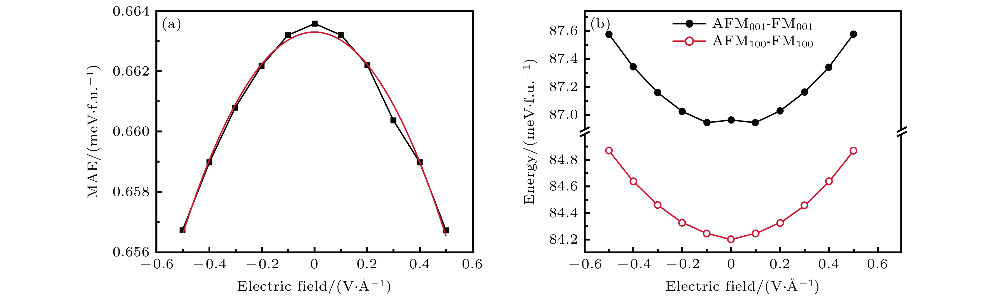
| [1] |
Yang Rui-Long, Zhang Yu-Ying, Yang Ke, Jiang Qi-Tao, Yang Xiao-Ting, Guo Jin-Zhong, Xu Xiao-Hong.Growth and magnetic properties of two-dimensional vanadium-doped Cr2S3nanosheets. Acta Physica Sinica, 2024, 0(0): 0-0.doi:10.7498/aps.73.20231229 |
| [2] |
Guo Xi, Zuo Ya-Lu, Cui Bao-Shan, Shen Tie-Long, Sheng Yan-Bin, Xi Li.Ion irradiation modulated magnetic properties of materials and its applications. Acta Physica Sinica, 2024, 73(13): 136101.doi:10.7498/aps.73.20240541 |
| [3] |
Yang Rui-Long, Zhang Yu-Ying, Yang Ke, Jiang Qi-Tao, Yang Xiao-Ting, Guo Jin-Zhong, Xu Xiao-Hong.Growth and magnetic properties of two-dimensional vanadium-doped Cr2S3nanosheets. Acta Physica Sinica, 2023, 72(24): 247501.doi:10.7498/aps.72.20231229 |
| [4] |
Liu Nan-Shu, Wang Cong, Ji Wei.Recent research advances in two-dimensional magnetic materials. Acta Physica Sinica, 2022, 71(12): 127504.doi:10.7498/aps.71.20220301 |
| [5] |
Zhang Song-Ge, Chen Yu-Tong, Wang Ning, Chai Yang, Long Gen, Zhang Guang-Yu.Probe and manipulation of magnetism of two-dimensional CrI3crystal. Acta Physica Sinica, 2021, 70(12): 127504.doi:10.7498/aps.70.20202197 |
| [6] |
Wang Hai-Yu, Liu Ying-Jie, Xun Lu-Lu, Li Jing, Yang Qing, Tian Qi-Yun, Nie Tian-Xiao, Zhao Wei-Sheng.Research progress of preparation of large-scale two-dimensional magnetic materials and manipulation of Curie temperature. Acta Physica Sinica, 2021, 70(12): 127301.doi:10.7498/aps.70.20210223 |
| [7] |
Xiao Han, Mi Meng-Juan, Wang Yi-Lin.Recent development in two-dimensional magnetic materials and multi-field control of magnetism. Acta Physica Sinica, 2021, 70(12): 127503.doi:10.7498/aps.70.20202204 |
| [8] |
Niu Peng-Bin, Luo Hong-Gang.Interplay between Majorana fermion and impurity in thermal-driven transport model. Acta Physica Sinica, 2021, 70(11): 117401.doi:10.7498/aps.70.20202241 |
| [9] |
Jiang Xiao-Hong, Qin Si-Chen, Xing Zi-Yue, Zou Xing-Yu, Deng Yi-Fan, Wang Wei, Wang Lin.Study on physical properties and magnetism controlling of two-dimensional magnetic materials. Acta Physica Sinica, 2021, 70(12): 127801.doi:10.7498/aps.70.20202146 |
| [10] |
Wang Peng-Cheng, Cao Yi, Xie Hong-Guang, Yin Yao, Wang Wei, Wang Ze-Ying, Ma Xin-Chen, Wang Lin, Huang Wei.Magnetic properties of layered chiral topological magnetic material Cr1/3NbS2. Acta Physica Sinica, 2020, 69(11): 117501.doi:10.7498/aps.69.20200007 |
| [11] |
Zhao Wei-Sheng, Huang Yang-Qi, Zhang Xue-Ying, Kang Wang, Lei Na, Zhang You-Guang.Overview and advances in skyrmionics. Acta Physica Sinica, 2018, 67(13): 131205.doi:10.7498/aps.67.20180554 |
| [12] |
Sheng Yu, Zhang Nan, Wang Kai-You, Ma Xing-Qiao.Demonstration of four-state memory structure with perpendicular magnetic anisotropy by spin-orbit torque. Acta Physica Sinica, 2018, 67(11): 117501.doi:10.7498/aps.67.20180216 |
| [13] |
Li Wen-Jing, Guang Yao, Yu Guo-Qiang, Wan Cai-Hua, Feng Jia-Feng, Han Xiu-Feng.Skyrmions in magnetic thin film heterostructures. Acta Physica Sinica, 2018, 67(13): 131204.doi:10.7498/aps.67.20180549 |
| [14] |
Xiao Jia-Xing, Lu Jun, Zhu Li-Jun, Zhao Jian-Hua.Perpendicular magnetic properties of ultrathin L10-Mn1.67Ga films grown by molecular-beam epitaxy. Acta Physica Sinica, 2016, 65(11): 118105.doi:10.7498/aps.65.118105 |
| [15] |
Gu Xiao-Fang, Qian Xuan, Ji Yang, Chen Lin, Zhao Jian-Hua.Observation of current-induced polarization in (Ga,Mn)As via magneto-optic Kerr measurement. Acta Physica Sinica, 2012, 61(3): 037801.doi:10.7498/aps.61.037801 |
| [16] |
Xu Jian-Wei, Wang Shun-Jin.Relativistic mean field theory of electron and first, second-order Rashba effects. Acta Physica Sinica, 2009, 58(7): 4878-4882.doi:10.7498/aps.58.4878 |
| [17] |
Ren Jun-Feng, Zhang Yu-Bin, Xie Shi-Jie.Current spin polarization in ferromagnetic/organic semiconductor/ferromagnetic system. Acta Physica Sinica, 2007, 56(8): 4785-4790.doi:10.7498/aps.56.4785 |
| [18] |
Ren Jun-Feng, Fu Ji-Yong, Liu De-Sheng, Xie Shi-Jie.Diffusion theory of spin injection into organic polymers*. Acta Physica Sinica, 2004, 53(11): 3814-3817.doi:10.7498/aps.53.3814 |
| [19] |
Sun Feng-Wei, Deng Li, Shou Qian, Liu Lu-Ning, Wen Jin-Hui, Lai Tian-Shu, Lin Wei-Zhu.Femtosecond spectral studies of electron spin injection and relaxation in AlGaAs / GaAs MQW. Acta Physica Sinica, 2004, 53(9): 3196-3199.doi:10.7498/aps.53.3196 |
| [20] |
Qin Jian-Hua, Guo Yong, Chen Xin-Yi, Gu Bing-Lin.A study on spin-polarized transport properties in magnetic-electric barrier st ructures. Acta Physica Sinica, 2003, 52(10): 2569-2575.doi:10.7498/aps.52.2569 |