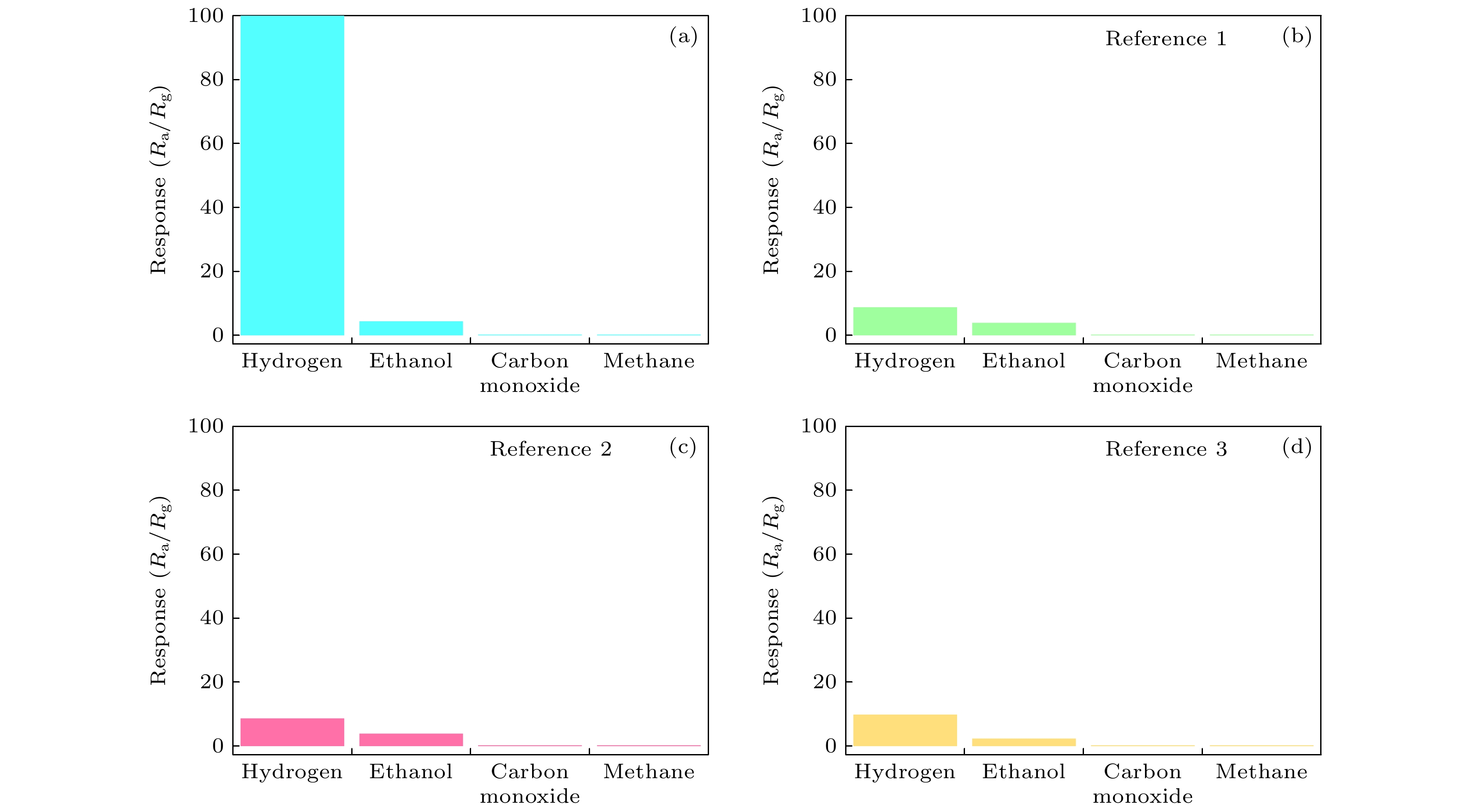
Hydrogen, as one of the most well-developed green energy materials, has played an important role in industrial development, human production and life, and the treatment of diseases in recent years. Hydrogen sensor is an important safety monitoring equipment in chemical production. Developing long-term and efficient hydrogen gas sensor for real-time monitoring has become increasingly important and urgent. Hydrogen, as one of the main combustible gases present in the petrochemical production process, is of great research significance and challenging in meeting the need of cycling gas identification and highly sensitive detection. Therefore, it is of great practical value to develop the low-cost, low-power and highly sensitive miniature hydrogen gas sensors . In this work, a gold-doped tin dioxide nanostructured ultra-sensitive and highly specific micro-nanosensor is obtained based on the in-situ synthesis of micro-hot plates. It is shown that the sensitivity of this nanosensor is as high as 100 for hydrogen at 50 ppm, and the sensitivity of ethanol, an important interference gas, is only 1/22 of that of hydrogen at the same concentration, which has an obvious suppression effect. For the same concentration of carbon monoxide, methane and other interference gases do not show any response. XPS characterization shows that the defective oxygen ratio of the material is the main reason for the ultra-sensitivity of the sensor. Meanwhile, in this study, the precursor solution of gold-doped tin dioxide is prepared by using chloroauric acid and tin tetrachloride crystals as raw materials; the nanosized morphology structure is prepared by templating the generation of sensitive materials using polystyrene microspheres; the in-situ synthesis method is realized by applying a voltage to the calcination of a micro hot plate. Through this nanoscale templating in-situ heating method, a gold-loaded tin dioxide nanosensor is prepared. Note that the template assisted in-situ grown
$ {\mathrm{A}}{\mathrm{u}} $
loaded Tin Oxide nano sensor is abbreviated as
$ {\mathrm{T}}{\mathrm{I}}{\mathrm{S}}\text{-}{\mathrm{Au}}\text{-}{{\mathrm{S}}{\mathrm{n}}{\mathrm{O}}}_{2} $
Sensor . In order to illustrate the sensing mechanism, we analyze the elemental compositions, and the results show that under the condition of the high defective oxygen content, the in-situ heating method of templated preparation of
$ {\mathrm{A}}{\mathrm{u}}\text{-}{{\mathrm{S}}{\mathrm{n}}{\mathrm{O}}}_{2} $
nano-sensor containing arrays of polystyrene spheres becomes an important reason for the ultra-sensitivity to hydrogen, high specificity, and the suppression of the important interfering gas, ethanol. Moreover, the in situ preparation method can be flexibly and scalably used to prepare high-performance miniaturized gas sensors with a variety of hollow-sphere nanostructured metal oxides, in order to obtain excellent sensitivity and adjustable selectivity.