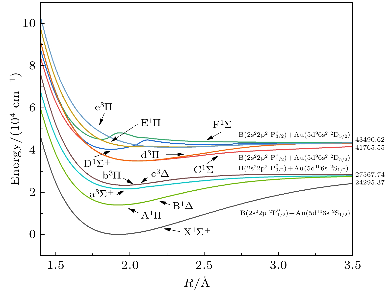
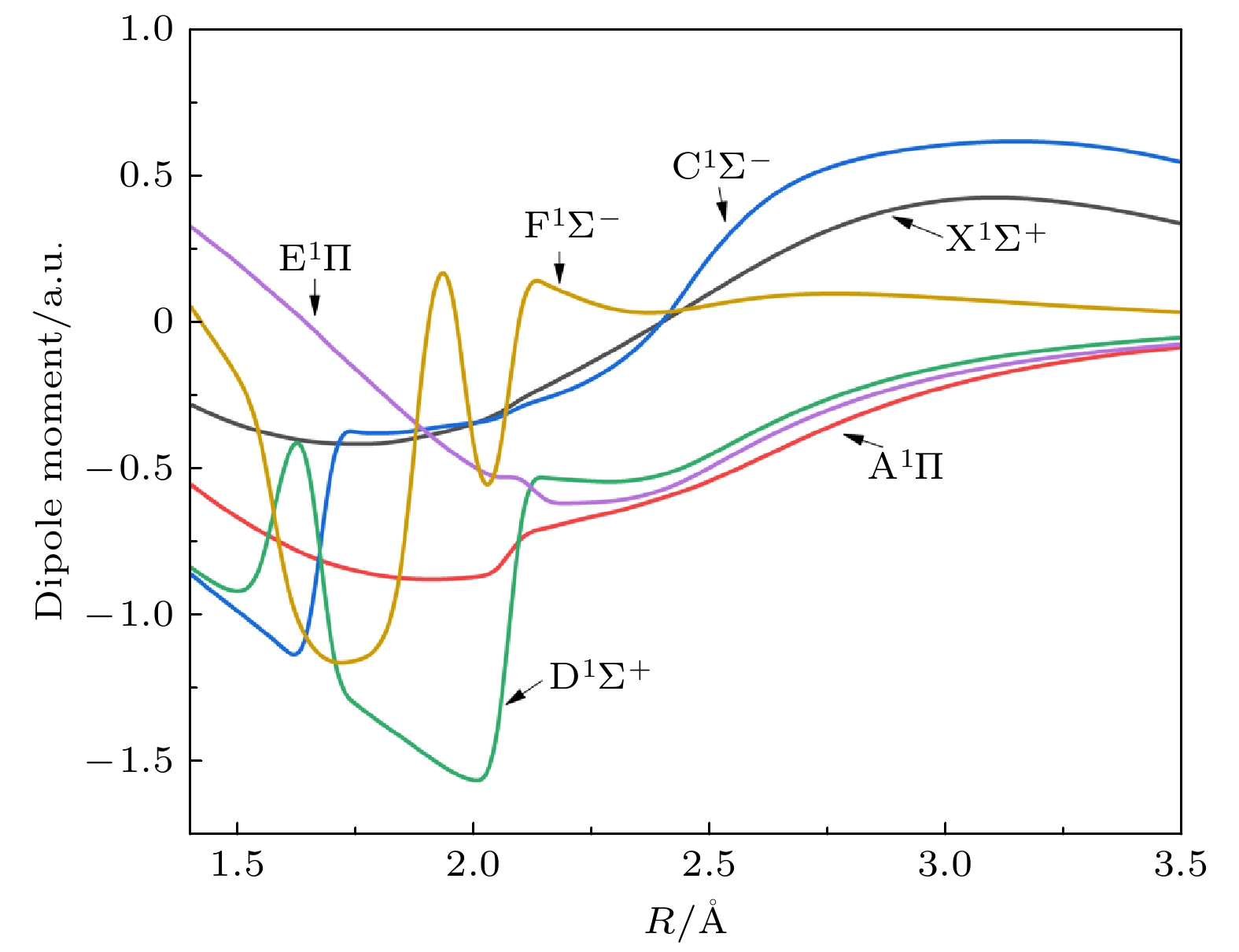
\begin{document}$ {\rm A}^{1}{{{\Pi}}}_{1} $\end{document} and first excited Ω state \begin{document}$ {{\mathrm{X}}}^{1}{{{\Sigma }}}_{{0}^{+}} $\end{document} are discussed in laser-cooling filed by analyzing the Franck-Condon factors and radiative lifetime. And the transition dipole moment is also calculated. But our results reveal that the AuB is not an ideal candidate for laser-cooling. In conclusion, this work is helpful in deepening the understanding of AuB, especially the structures of electronic states, interaction between excited states, and optical transition properties. All the data presented in this paper are openly available at https://www.doi.org/10.57760/sciencedb.j00213.00009."> - 必威体育下载

Search

Article

x

留言板

姓名
邮箱
手机号码
标题
留言内容
验证码

downloadPDF
Citation:

Zhu Yu-Hao, Li Rui
PDF
HTML
Get Citation
Metrics
  • Abstract views:1507
  • PDF Downloads:48
  • Cited By:0
Publishing process
  • Received Date:18 August 2023
  • Accepted Date:14 November 2023
  • Available Online:29 November 2023
  • Published Online:05 March 2024

    返回文章
    返回
      Baidu
      map