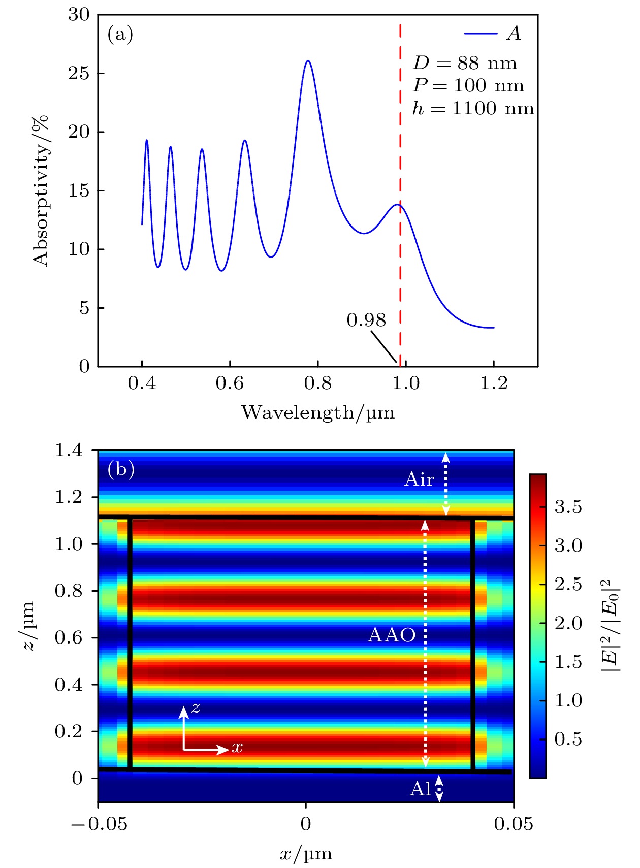
Up-conversion nanoparticle (UCNP) can collect near-infrared (NIR) light and convert it into visible light. Therefore, UCNP has potential applications in fields such as biomedicine, anti-counterfeiting, and solar cells. However, the efficiency of traditional UCNP in the above-mentioned fields is relatively low, greatly limiting its use in related fields. Therefore, enhancing the up-conversion luminescence intensity of up-conversion nanoparticles is particularly important and urgently needed. In this work, anodic alumina templates are used to enhance the luminescence intensity of up-conversion nanocrystals. NaYF
4:Yb
3+, Er
3+with a diameter of 35 nm is prepared by using co-precipitation method. Single pass AAO templates with pore size and pore spacing of 88 nm and 100 nm are prepared by using two-step anodization method. Finally, NaYF
4:Yb
3+, Er
3+/AAO composite structures are formed by using spin coating method. The red green light emission intensity of NaYF
4:Yb
3+, Er
3+/AAO sample can increase 4.4 and 9.0 times that of NaYF
4:Yb
3+, Er
3+/Al reference sample, respectively. The enhancement mechanism is explored by using the finite difference time domain method, and the results show that the primary source of enhancement is the localized surface plasmon resonance effect of the pores in the anodic alumina template. At the same time, the relationship between the up-conversion luminescence intensity of NaYF
4:Yb
3+, Er
3+/AAO sample and the incident angle is investigated. The experimental results show that as the incident angle increases, the luminescence intensity of the red and green light of NaYF
4:Yb
3+, Er
3+/AAO samples first decrease and then increase. Due to the coupling of the local surface plasmon resonance with the excitation wavelength and emission wavelength, the up-conversion luminescence intensity of the sample can be affected. The relationship of AAO channel enhancement factor with incident angle at excitation wavelength and emission wavelength is studied by using the finite difference time domain method. The results indicate that as the incident angle increases, the enhancement factor at the excitation wavelength decreases, while the enhancement factor at the emission wavelength increases after being illuminated at an incident angle of 15°. Therefore, when the incident angle is less than 20°, the electric field intensity at 980 nm dominates, but when it is greater than 20°, the electric field intensity at 540 nm and 650 nm takes precedence. The above results provide a reference for putting them into practical applications in the fields of anti-counterfeiting and solar cells.